Главная >> Сборник задач по физике. 7—9 классы. Лукашик. ГДЗ

Глава II. Движение и взаимодействие тел

Взаимодействие тел. Масса тел (продолжение)

203°. Колба подвешена на нити (рис. 42). Останется ли колба в состоянии покоя при сильном кипении воды в ней? Явление объясните.

    Рис. 42

204. В некоторых парках на детских площадках для игр устанавливают деревянные цилиндры (барабаны), вращающиеся на горизонтальной оси. В каком направлении и почему цилиндр вращается, когда по нему бежит ребенок?

205. Рыба может двигаться вперед, отбрасывая жабрами струи воды. Объясните это явление.

206. Какое назначение у водоплавающих птиц имеют перепончатые лапки?

207. Почему при выстреле приклад винтовки надо плотно прижимать к плечу?

208. Почему при выстреле снаряд и орудие получают разные скорости?

209. Мальчик прыгает с нагруженной баржи на берег. Почему движение баржи в сторону, противоположную прыжку, незаметно?

210. На одинаковом расстоянии от берега находятся лодка с грузом и такая же лодка без груза. С какой лодки легче спрыгнуть на берег? Почему?

211. а) В сжатом состоянии пружина на подставке удерживается с помощью нити (рис. 43),

а). Если в точке А нить пережечь, то пружина взлетит. Укажите, взаимодействием каких тел вызывается движение пружины.
б) Если на пружину предварительно поместить, например, мяч, то и он придет в движение. Взаимодействием каких тел будет вызвано движение мяча?
в) На левой тележке лежит кубик из железа, на правой — из дерева (рис. 43, б). Между тележками помещена сжатая с помощью нити пружина. Если нить пережечь, то тележки придут в движение. Какая тележка приобретет большую скорость? Почему?

    Рис. 43

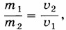
212*. Левая тележка (см. задачу 211, в) приобрела скорость 4 см/с, правая — 60 см/с. Масса какой тележки больше и во сколько раз?1

    1 При решении подобных задач следует иметь в виду, что если при взаимодействии тел их начальные скорости были равны нулю, то используется равенство отношений где m1 и m2 — массы взаимодействующих тел, υ1 и υ2 — скорости, приобретенные ими.

213*. Чему равна масса левой тележки (см. задачу 212), если масса правой тележки равна 50 г?

<<< К началу          Окончание >>>

 

 

???????@Mail.ru