Главная >> Сборник задач по физике. 7—9 классы. Лукашик. ГДЗ

Глава II. Движение и взаимодействие тел

Взаимодействие тел. Масса тел (продолжение решений)

213.

214.

215. а) Так как массы шаров равны, то наличие разных начальных скоростей шаров при абсолютно упругом ударе нельзя объяснить различием масс шаров. Следовательно, взаимодействие шаров и дощечки не является абсолютно упругим. При неупругом ударе часть энергии взаимодействия переходит во внутреннюю энергию тел (при этом они нагреваются). Чем ббльшая доля механической энергии теряется, тем меньшая начальная скорость будет у сталкивающихся тел. Поэтому самым пластичным (деформируемым) является 3-й шар. Очевидно, он сделан из свинца. Менее деформируемый — это 2-й, алюминиевый шар. И, наконец, самым упругим является 1-й, стальной шар.
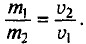
б) Начальные скорости тележек были равны нулю, значит можно воспользоваться формулой Подставляем m1 =7,5 кг и m2 = 1,5 кг и получаем, что То есть скорость правой тележки в 5 раз больше скорости левой.

216. Масса правой тележки меньше массы левой тележки .

217.

218. Большую скорость приобретет левая лодка, так как ее масса меньше, чем масса лодки с мальчиком. К тому же у нее меньше сопротивление движению со стороны воды, ведь она двигается носом вперед, а правая — кормой вперед.

<<< К началу           Решения (окончание) >>>

 

 

???????@Mail.ru