Главная >> Сборник задач по физике. 7—9 классы. Лукашик. ГДЗ

Измерение физических величин

Решения (окончание)

28.

30.

31. 1) 950 мл = 950 см3; 2) 76 мл = 76 см3; 3) 165 мл = 165 см3.

32. Сходство: а) цена деления мензурок — 5 см3; б) максимальный объем 100 см3. Различие: шкала мензурки б) линейная, а шкала мензурки а) — нелинейная.

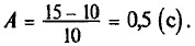
33. Пусть цена деления мензурки А, тогда
А = (1000 см3 - 900 см3) : 10 = 10 см3.
Объем тела V равен объему вытесненной воды.
V = 800 см3 - 500 см3 = 300 см3.

34. Налить в мензурку воды до определенного деления, отмечаем его, опускаем в мензурку, например, 20 дробинок; определяем объем вытесненной воды и делим его на 20.

35. Если опустить тело в сосуд, изображенный на рис. 12 учебника, то часть воды выльется в мензурку; объем этой воды равен объему тела.

36. Цена деления секундомера

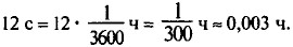
№ 37. 12 с; Отсюда 1 с = 103 мс = 106 мкс. Поэтому 12 с 1,2 • 104 мс= 1,2 • 107 мкс.

38. 4° - (-6°) = 4° + 6° = 10°С.

39.

2) б) 34°С ; д) 22,5°С;
3) а) -20°С; г) -7,5°С;
4) а) 22°С; б) 4°С; в) 19°С; г) 6°С; д) 14°С.

<<< К началу

 

 

???????@Mail.ru