Главная >> Сборник задач по физике. 7—9 классы. Лукашик. ГДЗ

Закон Паскаля. Гидравлический пресс

Решения: Закон Паскаля. Гидравлический пресс (окончание)

497. а) Выигрыш в 10 : 1 = 10 раз; б) выигрыш в 50 : 2 = 25 раз; в) выигрыш в 100 : 1 = 100 раз; г) выигрыш в 60 : 5 = 12 раз; д) выигрыш в 100 : 10 = 10 раз.

498.

    498.

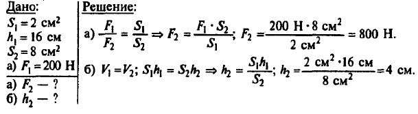
499.

    499.

500.

    500.

501.

    501.

502.

    502.

503.

    503.

<<< К началу

 

 

???????@Mail.ru