Главная >> Сборник задач по физике. 7—9 классы. Лукашик. ГДЗ

Давление в жидкостях. Сообщающиеся сосуды

Решения: Давление в жидкостях. Сообщающиеся сосуды (продолжение)

521.

    521.

522.

    522.

523.

    523.

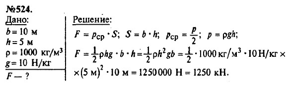
524.

    524.

525.

    525.

526.

    526.

527.

    527.

528.

    528.

529.

    529.

530.

    530.

531.

    531.

532.

    532.

533.

    533.

p1 = 1000 кг/м3 • 10 Н/кг • 0,6 м = 6000 Па;
р2 = 1000 кг/м3 • 10 Н/кг • 0,7 м = 7000 Па;
S = 0,5 м • 0,4 м = 0,2 м2; V = 0,5 м • 0,4 м • 0,1 м = 0,02 м3;
F1 = 6000 Па • 0,2 м2 = 1200 Н; F2 = 7000 Па • 0,2 м2 = 1400 Н;
mв = 1000 кг/м3 • 0,02 м3 = 20 кг; Р = 20 кг • 10 Н/кг = 200 Н.

<<< К началу          Решения (окончание) >>>

 

 

???????@Mail.ru