Главная >> Сборник задач по физике. 7—9 классы. Лукашик. ГДЗ

Закон Архимеда

Решения: Закон Архимеда (окончание)

643.

    643.

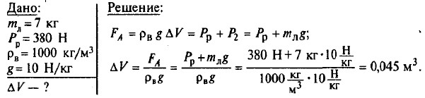
644.

    644.

645.

    645.

646.

    646.

647.

    647.

648.

    648.

649.

    649.

650.

    650.

651.

    651.

652.

    652.

653. Нарушится, перевесит правое коромысло. Так как плотность углекислого газа больше плотности воздуха, выталкивающая сила больше, чем в воздухе.

654. Большей подъемной силой обладает шар, заполненый водородом, так как = FА - FT < FТH2 < FTНе; ρH2 < ρHe.

655.

    655.

656. Плотность воздуха ρвозд = 1,29 кг/м3. Если пренебречь весом пузыря, то он будет плавать в газах, плотность которых больше плотности воздуха (пропан ρ = 2 кг/м3, оксид углерода ρ = 1,98 кг/м3).

657.

    657.

658.

    658.

659.

    659.

660. Объем шара делают с таким большим запасом, так как с высотой давление наружного воздуха падает и на высоте 19 км оно составляет очень малую часть от нормального атмосферного давления; шар увеличивается в объеме.

<<< К началу

 

 

???????@Mail.ru