Главная >> Сборник задач по физике. 7—9 классы. Лукашик. ГДЗ

Глава IV. Работа и мощность. Простые механизмы. Энергия

Механическая работа (продолжение)

670. Работа силы тяги автомобиля, прошедшего с неизменной скоростью путь 2 км, равна 50 кДж. Определите силу трения.

671*. Три кирпича лежат плашмя, как показано на рисунке 198 (вверху, справа). Масса каждого кирпича равна 1,7 кг. Вычислите работу, произведенную мальчиком по укладке кирпичей друг на друга (рис. 198, слева), приняв, что толщина каждого кирпича равна 6 см.

672. Используя данные рисунка 199, определите механическую работу по перемещению бруска.

    Рис. 199

673. Ястреб, масса которого 0,4 кг, воздушным потоком поднят на высоту 70 м. Определите работу силы, поднявшей птицу.

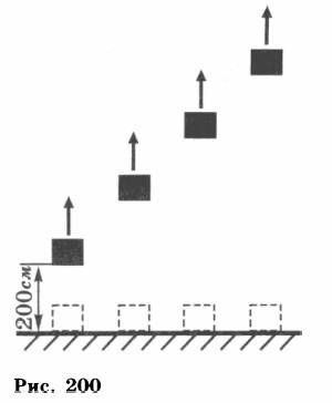
674°. На рисунке 200 показаны пути перемещения груза весом 0,5 кН при подъеме его на различную высоту. Определите работу в каждом случае.

    Рис. 200

675. Определите работу, совершенную при равномерном подъеме тела весом 40 Н на высоту 120 см.

676. На поршень насоса действует сила 204 кН. Чему равна работа за один ход поршня, если ход поршня равен 40 см?

677. Лошадь равномерно везет телегу со скоростью 0,8 м/с, прилагая усилие 400 Н. Какая работа совершается при этом за 1 ч? (Силу, приложенную лошадью к телеге, считать направленной вдоль перемещения телеги.)

678. Давление воды в цилиндре нагнетательного насоса 1200 кПа. Чему равна работа при перемещении поршня площадью 400 см2 на расстояние 50 см?

679. Каждую секунду насос подает 20 л воды в водонапорную башню на высоту 10 м. Какая работа совершается за 1 ч против сил тяжести?

680. Определите работу, совершаемую в течение часа насосами на Волго-Донском канале, если за 1 с они поднимают 45 м3 воды на высоту 44 м.

681. Какая работа совершается при подъеме гранитной плиты объемом 2 м3 на высоту 12 м? Чему будет равна работа, если эту плиту поднимать на ту же высоту в воде?

682. Шагающий экскаватор выбрасывает за один прием 14 м3 грунта, поднимая его на высоту 20 м. Вес ковша без грунта 20 кН. Определите работу, совершаемую по подъему грунта и ковша. Плотность грунта 1500 кг/м3.

<<< К началу          Окончание >>>

 

 

???????@Mail.ru