Главная >> Сборник задач по физике. 7—9 классы. Лукашик. ГДЗ

Равномерное и неравномерное прямолинейное движение

Решения (продолжение)

121.

122.

123.

124.

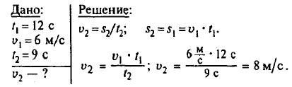
125.

126.

127.

128.

129.

130.

131.

132.

133.

134.

135.

136.

137.

138.

139.

<<< К началу          Решения продолжение >>>

 

 

???????@Mail.ru