|
|
|
|
|
Глава 15. Законы постоянного тока § 103. Примеры решения задач по теме «Закон Ома. Последовательное и параллельное соединения проводников»При решении задач на применение закона Ома необходимо учитывать, что при последовательном соединении проводников сила тока во всех проводниках одинакова, а при параллельном их соединении напряжение одинаково на всех проводниках. Формулы (15.6), (15.7), (15.9) и (15.11) следуют из закона Ома. Их надо применять при решении задач. Задача 1. Параллельно амперметру, имеющему сопротивление Rа = 0,5 Ом, подсоединён медный провод длиной l = 0,4 м и диаметром d = 0,001 м. Удельное сопротивление меди ρ = 1,7 • 10-8 Ом • м. Определите полную силу тока в цепи, если амперметр показывает силу тока Iа = 0,2 А. Р е ш е н и е. Так как амперметр и провод подключены параллельно, то напряжение на амперметре равно напряжению на проводе: IаRа = InRn. Определим сопротивление провода: Тогда
Задача 2. На рисунке 15.7 все сопротивления резисторов равны R. Определите эквивалентное сопротивление цепи. Чему равна полная сила тока в цепи, если на клеммы 1, 2 подано напряжение U? Р е ш е н и е. Трудно определить, как соединены резисторы R1 и R3 — последовательно или параллельно. В подобных схемах всегда нужно искать резисторы, соединения которых очевидны. Так, очевидно, что резисторы 7?5 и R6 соединены последовательно. Значит, R5,6 = R5 + R6 = 2R. Эквивалентный резистор сопротивлением R5,6 соединён с резистором R4 параллельно. Следовательно,
Эквивалентный резистор сопротивлением R4-6, в свою очередь, соединён последовательно с резистором R3: R3-6 = R3 + R4-6 = R + (2/3)R = (5/3)R, а эквивалентный резистор сопротивлением R3-6 — параллельно с резистором R2:
И наконец, эквивалентный резистор R2-6 соединён последовательно с резистором R1, так что Rэкв = R2-б + R = (5/8)R + R = (13/8)R. Из закона Ома следует, что сила тока
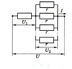
Задача 3. К участку цепи с напряжением U через резистор сопротивлением R подключены параллельно десять лампочек, имеющих одинаковое сопротивление r. Определите напряжение на каждой лампочке. Р е ш е н и е. Начертим схему цепи (рис. 15.8). Очевидно, что напряжение на каждой лампочке будет одинаково, так как они соединены параллельно. Резистор сопротивлением R и участок цепи с лампочками соединены последовательно, следовательно, U = U1 + U2 = IR + IRэкв. Запишем закон Ома для каждого из участков цепи:
откуда Окончательно получим Задачи для самостоятельного решения1. К концам медного проводника длиной 300 м приложено напряжение 36 В. Определите среднюю скорость упорядоченного движения электронов в проводнике, если концентрация электронов проводимости в меди 8,5 • 1028 м-3, а удельное сопротивление 1,7 • 10-8 Ом • м. 2. Сопротивление каждого из проводников, соединённых в квадрат, и проводников, образующих диагонали квадрата, равно r. Определите эквивалентное сопротивление при подключении источника тока: 1) к соседним вершинам; 2) к вершинам, лежащим на одной диагонали. В точке пересечения диагоналей контакта нет.
|
|
|