Главная >> Физика 10 класс. Мякишев

Глава 1. Кинематика точки и твёрдого тела

§ 16. Кинематика абсолютно твёрдого тела (окончание)

Полному обороту тела соответствует угол Δφ = 2π. Поэтому согласно формуле (1.26)

Если при равномерном вращении угловая скорость известна и в начальный момент времени t0 = 0 угол φ0 = 0, то угол поворота радиус-вектора за время t согласно уравнению (1.26)

φ = ωt.

Если φ0 ≠ 0, то φ - φ0 = ωt, или φ = φ0 ± ωt.

Радиан равен центральному углу, опирающемуся на дугу, длина которой равна радиусу окружности, 1 рад = 57°17'48". В радианной мере угол равен отношению длины дуги окружности к её радиусу: φ = l/R.

Положительна или отрицательна угловая скорость стрелок часов, вращения колеса обозрения (см. рис. 1.60), колёс автомобиля при движении?

Угловая скорость принимает положительные значения, если угол между радиус-вектором, определяющим положение одной из точек твёрдого тела, и осью ОХ увеличивается (рис. 1.63, а), и отрицательные, когда он уменьшается (рис. 1.63, б).

Тем самым мы можем найти положение точек вращающегося тела в любой момент времени.

Связь между линейной и угловой скоростями. Скорость точки, движущейся по окружности, часто называют линейной скоростью, чтобы подчеркнуть её отличие от угловой скорости.

Мы уже отмечали, что

Важно
при вращении абсолютно твёрдого тела разные его точки имеют неодинаковые линейные скорости, но угловая скорость для всех точек одинакова.

период вращения

Установим связь между линейной скоростью любой точки вращающегося тела и его угловой скоростью. Точка, лежащая на окружности радиусом R, за один оборот пройдёт путь 2πR. Поскольку время одного оборота тела есть период Т, то модуль линейной скорости точки можно найти так:

модуль линейной скорости точки

Так как ω = 2πν, то

чем дальше расположена точка тела от оси вращения, тем больше её линейная скорость

Из этой формулы видно, что, чем дальше расположена точка тела от оси вращения, тем больше её линейная скорость. Для точек земного экватора υ = 463 м/с, а для точек на широте Санкт-Петербурга υ = 233 м/с. На полюсах Земли υ = 0.

Модуль центростремительного ускорения точки тела, движущейся равномерно по окружности, можно выразить через угловую скорость тела и радиус окружности:

Модуль центростремительного ускорения точки тела

Следовательно,

ацс = ω2R.

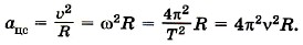
Запишем все возможные расчётные формулы для центростремительного ускорения:

все возможные расчётные формулы для центростремительного ускорения

Почему при быстром вращении велосипедного колеса мы видим отдельные спицы только около оси вращения?

Мы рассмотрели два простейших движения абсолютно твёрдого тела — поступательное и вращательное. Однако любое сложное движение абсолютно твёрдого тела можно представить как сумму двух независимых движений: поступательного и вращательного.

На основании закона независимости движений можно описать сложное движение абсолютно твёрдого тела.

Ключевые слова для поиска информации по теме параграфа.
Твёрдое тело. Поступательное, вращательное движения

Вопросы к параграфу

    1. В каком случае тело можно считать абсолютно твёрдым?

    2. Что называется поступательным движением?

    3. Приведите примеры поступательного движения, не упомянутые в тексте книги.

    4. Что называется осью вращения твёрдого тела?

    5. Что такое угловая скорость?

    6. Во сколько раз угловая скорость минутной стрелки часов больше угловой скорости часовой стрелки?

Образцы заданий ЕГЭ

А1. Период обращения тела, движущегося равномерно по окружности, увеличился в 2 раза. При этом частота обращения

1) возросла в 2 раза           3) возросла в 4 раза
2) уменьшилась в 2 раза       4) уменьшилась в 4 раза

А2.Материальная точка, двигаясь равномерно по окружности, за 3 с прошла четверть окружности. Определите частоту обращения точки.

Определите частоту обращения точки

А3. Автомобиль движется по закруглению дороги радиусом 20 м с центростремительным ускорением 5 м/с2. Скорость автомобиля равна

1) 12,5 м/с       2) 10 м/с       3) 5 м/с       4) 4 м/с

А4.Материальная точка движется по окружности с постоянной по модулю скоростью. Как изменится модуль её центростремительного ускорения, если скорость точки увеличить втрое?

1) увеличится в 3 раза       3) уменьшится в 3 раза
2) увеличится в 9 раз       4) уменьшится в 9 раз

<<< К началу параграфа                Следующая страница >>>

 

 

???????@Mail.ru