Главная >> Физика 10 класс. Мякишев

Глава 3. Силы в механике

§ 30. Примеры решения задач по теме «Закон всемирного тяготения

При решении задач надо помнить, что сила тяготения действует между любыми телами, имеющими массу, но формула справедлива только для тел, которые можно считать материальными точками, а также для однородных тел шаровой формы. При этом расстояние r — это расстояние между центрами шаров.

Задача 1. При опытной проверке закона всемирного тяготения сила взаимодействия между двумя свинцовыми шарами массами m1 = 5 кг и m2 = 500 г, расстояние между центрами которых r = 7 см, оказалась равной F = 34 нН. Вычислите по этим данным гравитационную постоянную.

Р е ш е н и е. Согласно закону всемирного тяготения Из этого выражения следует, что Подставим в эту формулу результаты опыта, при этом все данные переведём в СИ: m2 = 500 г = 5 • 10-1 кг, r = 7 см = 7 • 10-2 м, F = 34 нН = 3,4 • 10-8 Н.

Получим Уточнённое значение гравитационной постоянной, которое входит в таблицы:

силы гравитационного притяжения Луны к Земле и Солнцу взаимно перпендикулярны

Задача 2. Определите равнодействующую силу, действующую на Луну, считая, что силы притяжения к Земле и Солнцу взаимно перпендикулярны. Массы Луны, Земли и Солнца соответственно равны mЛ = 7,36 • 1022 кг; m3 = 5,98 • 1024 кг; mC = 1,99 • 1030 кг; расстояния от Луны до Земли и от Луны до Солнца соответственно равны rЛЗ = 3,85 • 108 м, rЛС = 1,5 • 1011 м.

Р е ш е н и е. По условию задачи силы гравитационного притяжения Луны к Земле и Солнцу взаимно перпендикулярны (рис. 3.6). Рассчитаем силу гравитационного притяжения Луны к Земле.

Рассчитаем силу гравитационного притяжения Луны к Земле

Сила притяжения Луны к Солнцу равна

Сила притяжения Луны к Солнцу равна

По теореме Пифагора найдём равнодействующую силу, действующую на Луну,

По теореме Пифагора найдём равнодействующую силу, действующую на Луну

сферическая полость

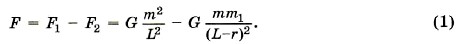
Задача 3. На поверхности Земли находятся два свинцовых шара радиусом R = 10 см каждый. В одном из них вырезана сферическая полость, как показано на рисунке 3.7. Радиус полости r = 5 см, центр полости находится на расстоянии l = 5 см от центра шара. Определите силу гравитационного притяжения шаров. Центры шаров находятся на расстоянии L = 40 см.

Р е ш е н и е. Если бы у правого шара не было вырезанной полости, то сила гравитационного притяжения шаров была бы равна при этом Вырезав полость, мы уменьшаем эту силу притяжения на силу F2, равную силе притяжения левого шара к вырезанной части:

Тогда

Заметим, что L = 4R = 8r; R = 2r, соответственно m = 8 m1.

Подставив эти выражения в формулу (1), получим

Учтя, что получаем

Задачи для самостоятельного решения

1. Радиус R1 Луны примерно в 3,7 раза меньше, чем радиус R Земли, а масса m Луны в 81 раз меньше массы М Земли. Определите ускорение свободного падения тел на поверхности Луны.

2. Предположим, что масса Земли стала в 2 раза, а радиус — в 1,2 раза больше. Определите, во сколько раз изменилась сила тяжести, действующая на тело, находящееся на полюсе.

Образцы заданий ЕГЭ

С1. Какое ускорение сообщает Солнце Земле своим притяжением? Расстояние до Солнца примерно в 24 000 раз больше, чем радиус Земли, а масса Солнца превышает массу Земли в 333 000 раз. (g3 = 10 м/с2.)

С2.Вычислите ускорение Луны, движущейся вокруг Земли по окружности. Расстояние между центрами Земли и Луны примите равным 400 000 км. Радиус Земли 6400 км. (g3 = 10 м/с2.)

С3. Отношение массы Венеры к массе Земли равно 0,82, а отношение среднего радиуса Венеры к среднему радиусу Земли равно 0,95. Чему равна сила тяжести спускаемого на Венеру аппарата массой 500 кг? (g3 = 10 м/с2.)

 

 

???????@Mail.ru