Главная >> Физика 10 класс. Мякишев

Глава 1. Кинематика точки и твёрдого тела

§ 7. Примеры решения задач по теме «Сложение скоростей»

При решении задач на эту тему прежде всего надо грамотно выбрать тело отсчёта, с которым связать неподвижную систему координат. Затем выбрать тело отсчёта, движущееся относительно первого, и связать с ним подвижную систему координат. В этих двух системах рассмотреть движение тела и записать закон сложения скоростей.

Сложение скоростей поясняется на рисунке

Задача 1. Два поезда движутся равномерно друг за другом. Скорость первого равна 80 км/ч, а скорость второго — 60 км/ч. Определите скорость второго поезда относительно первого.

Р е ш е н и е. Обозначим скорость первого поезда относительно земли через 1, а скорость второго поезда — через 2. Тогда согласно закону сложения скоростей (1.9)

2 = '2 + 1,

где '2 — искомая скорость второго поезда относительно первого. Отсюда

'2 = 2 - 1.

Это сложение скоростей поясняется на рисунке 1.21. Из рисунка видно, что скорость второго поезда относительно первого направлена в сторону, противоположную направлению движения поездов, и второй поезд удаляется от первого. Проекция скорости '2 на ось ОХ равна

υ'2 = υ2 - υ1 = -20 км/ч.

Определите модуль скорости υ<sub>1</sub> катера относительно воды

Задача 2. Скорость течения реки υ = 1,5 м/с. Определите модуль скорости υ1 катера относительно воды, если катер движется перпендикулярно к берегу со скоростью υ2 = 2 м/с относительно его.

Р е ш е н и е. Согласно закону сложения скоростей (1.9)

2 = 2 - .

Отсюда скорость катера относительно воды

1 = 1 + .

Векторное сложение скоростей и 2 показано на рисунке 1.22.

Так как полученный треугольник скоростей прямоугольный, то 1 = 2,5 м/с.

Задача 3. Самолёт, скорость которого относительно воздуха равна 300 км/ч, летит на север. Внезапно подул северо-западный ветер со скоростью 100 км/ч относительно земли. Определите, под каким углом к направлению на запад лётчик должен направлять самолёт, чтобы продолжать лететь на север, и чему при этом будет равна скорость самолёта относительно земли.

Р е ш е н и е. Свяжем неподвижную систему отсчёта с землёй, а подвижную — с воздухом. Тогда согласно закону сложения скоростей скорость 2 самолёта относительно земли равна сумме скоростей '2 самолёта относительно воздуха и ветра относительно земли:

2 = '2 +                         (1)

На рисунке 1.23 показаны скорость ветра, скорость 2 самолёта и скорость '2 самолёта относительно земли. Мы направляем скорости так, чтобы проекции скорости самолёта относительно ветра и скорости ветра на оси ОХ были равны по модулю и направлены в противоположные стороны: '2x = -x. Соответственно

'2cosα = cos45°. (2)

В проекции на ось OY уравнение (1) запишем в виде 2y = '2y + y.

Тогда 2y = '2sinα - sin45°, это искомая скорость самолёта.

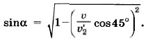
Из уравнения (2) найдем угол α:

найдем угол α

Подставим числовые значения: α = 76°.

Из уравнения (3) выразим sinα:

Скорость самолёта

Задачи для самостоятельного решения

    1. Скорость катера относительно воды равна 36 км/ч, а скорость течения равна 9 км/ч. На одном берегу реки находятся две пристани. Расстояние между ними равно 90 км. Какое время затратит катер на прохождение пути между пристанями по течению и обратно?

    2. По двум параллельным железнодорожным путям навстречу друг другу равномерно движутся два поезда со скоростями 72 км/ч и 108 км/ч. Длина первого поезда 900 м, второго — 140 м. В течение какого времени один поезд пройдёт мимо другого?

    3. Капли дождя падают отвесно относительно земли со скоростью 35 м/с. Какую наименьшую скорость относительно земли должен иметь автомобиль, чтобы на заднем смотровом стекле, наклонённом под углом 60° к горизонту, не оставалось следов капель? Завихрения воздуха не учитывайте.

    4. Эскалатор метро спускает идущего по нему человека вниз за 1 мин. Если человек идёт вдвое быстрее, то он спустится за 45 с. Сколько времени будет спускаться человек, стоящий на эскалаторе?

 

 

???????@Mail.ru