Главная >> Физика 10 класс. Мякишев

Глава 14. Электростатика

§ 90. Поле точечного заряда и заряженного шара. Принцип суперпозиции полей

    Что показывают силовые линии?

    Для чего они используются?

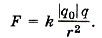
Напряжённость поля точечного заряда. Найдём напряжённость электрического поля, создаваемого точечным зарядом q0. По закону Кулона этот заряд будет действовать на положительный заряд q с силой

Напряжённость поля точечного заряда

Модуль напряжённости поля точечного заряда q0 на расстоянии г от него равен:

Модуль напряжённости поля точечного заряда

Вектор напряжённости в любой точке электрического поля направлен вдоль прямой, соединяющей эту точку и заряд

Вектор напряжённости в любой точке электрического поля направлен вдоль прямой, соединяющей эту точку и заряд (рис. 14.14), и совпадает с силой, действующей на точечный положительный заряд, помещённый в данную точку. Силовые линии электрического поля точечного заряда, как следует из соображений симметрии, направлены вдоль радиальных линий (рис. 14.15, а).

Поле заряженного шара. Рассмотрим теперь вопрос об электрическом поле заряженного проводящего шара радиусом R. Заряд q равномерно распределён по поверхности шара. Силовые линии электрического поля, также из соображений симметрии, направлены вдоль продолжений радиусов шара (рис. 14.15, б).

Распределение в пространстве силовых линий электрического поля шара с зарядом q на расстояниях r ≥ R от центра шара аналогично распределению силовых линий поля точечного заряда q (см. рис. 14.15, а). Следовательно, на расстоянии r ≥ R от центра шара напряжённость поля определяется той же формулой (14.9), что и напряжённость поля точечного заряда, помещённого в центре сферы:

Поле заряженного шара

Важно
Внутри проводящего шара (r < R) напряженность поля равна нулю.

Принцип суперпозиции полей. Если на тело действует несколько сил, то согласно законам механики результирующая сила равна геометрической сумме этих сил:

= 1 + 2 + ... .

На электрические заряды действуют силы со стороны электрического поля. Если при наложении полей от нескольких зарядов эти поля не оказывают никакого влияния друг на друга, то результирующая сила со стороны всех полей должна быть равна геометрической сумме сил со стороны каждого поля. Опыт показывает, что именно так и происходит на самом деле. Это означает, что напряжённости полей складываются геометрически.

В этом состоит принцип суперпозиции полей.

Принцип суперпозиции полей

Если в данной точке пространства различные заряженные частицы создают электрические поля, напряжённости которых 1, 2, 3 и т. д., то результирующая напряжённость поля в этой точке равна сумме напряжённостей этих полей:

= 1 + 2 + 3 + ... .                 (14.11)

Напряжённость поля, создаваемого отдельным зарядом, определяется так, как будто других зарядов, создающих поле, не существует.

Показано, как определяется напряжённость поля

Согласно принципу суперпозиции полей для нахождения напряжённости поля системы заряженных частиц в любой точке достаточно знать выражение (14.9) для напряжённости поля точечного заряда. Для определения направления векторов напряжённостей полей отдельных зарядов мысленно помещаем в выбранную точку положительный заряд.

На рисунке 14.16 показано, как определяется напряжённость поля в точке А, созданного двумя точечными зарядами q1 и q2.

Ключевые слова для поиска информации по теме параграфа.
Напряжённость. Силовые линии. Принцип суперпозиции полей

Вопросы к параграфу

    1. Чему равна напряжённость поля заряженного проводящего шара?

    2. Чему равна напряжённость поля точечного заряда?

    3. Как направлена напряжённость поля заряда q0, если q0 > 0? если q0 < 0?

    4. Как формулируется принцип суперпозиции полей?

 

 

???????@Mail.ru