Главная >> Физика 10 класс. Мякишев

Глава 14. Электростатика

§ 99. Примеры решения задач по теме «Электроёмкость. Энергия заряженного конденсатора»

«Электроёмкость» — последняя тема раздела «Электростатика». При решении задач на эту тему могут потребоваться все сведения, полученные при изучении электростатики: закон сохранения электрического заряда, понятия напряжённости поля и потенциала, сведения о поведении проводников в электростатическом поле, о напряжённости поля в диэлектриках, о законе сохранения энергии применительно к электростатическим явлениям. Основной формулой при решении задач на электроёмкость является формула (14.22).

Задача 1. Электроёмкость конденсатора, подключённого к источнику постоянного напряжения U = 1000 В, равна C1 = 5 пФ. Расстояние между его обкладками уменьшили в n = 3 раза. Определите изменение заряда на обкладках конденсатора и энергии электрического поля.

Р е ш е н и е. Согласно формуле (14.22) заряд конденсатора q = CU. Отсюда изменение заряда Δq — (С2 - C)U = (nC1 - C1)U = (п — 1)С1U = 10-8 Кл.

Изменение энергии электрического поля

Изменение энергии электрического поля

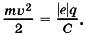
Задача 2. Заряд конденсатора q = 3 • 10-8 Кл. Ёмкость конденсатора С = 10 пФ. Определите скорость, которую приобретает электрон, пролетая в конденсаторе путь от одной пластины к другой. Начальная скорость электрона равна нулю. Удельный заряд электрона

Р е ш е н и е. Начальная кинетическая энергия электрона равна нулю, а конечная равна Применим закон сохранения энергии где А — работа электрического поля конденсатора:

Следовательно,

Окончательно

Определите заряд q1 и напряжение U1, на каждом из конденсаторов

Задача 3. Четыре конденсатора ёмкостями С1 = С2 = = 1 мкФ, С3 = 3 мкФ, С4 = 2 мкФ соединены, как показано на рисунке 14.46. К точкам А и В подводится напряжение U = 140 В. Определите заряд q1 и напряжение U1, на каждом из конденсаторов.

Р е ш е н и е. Для определения заряда и напряжения прежде всего найдём ёмкость батареи конденсаторов. Эквивалентная ёмкость второго и третьего конденсаторов С2,3 = С2 + С3, а эквивалентную ёмкость всей батареи конденсаторов, представляющей собой три последовательно соединённых конденсатора ёмкостями С1, С2,3, С4, найдём из соотношения

1/Cэкв = 1 /С1 + 1/С2,3 + 1 /С4, Сэкв = (4/7) • 10-6 Ф.

Заряды на этих конденсаторах одинаковы:

q1 = q2,3 = q4 = Сэкв = 8 • 10-5 Кл.

Следовательно, заряд первого конденсатора q1 = 8 • 10-5 Кл, а разность потенциалов между его обкладками, или напряжение, U1 = q11 = 80 В.

Для четвёртого конденсатора аналогично имеем q4 = 8 • 10-5 Кл, U4 = q4/C4 = 40 В.

Найдём напряжение на втором и третьем конденсаторах: U2 = U3 = q2,3/C2,3 = 20 В.

Таким образом, на втором конденсаторе заряд q2 = C2U2 = 2 • 10-5 Кл, а на третьем конденсаторе q3 = C3U3 = 6 • 10-5 Кл. Отметим, что q2,3 = q2 + g3.

Определите эквивалентную электрическую ёмкость в цепи

Задача 4. Определите эквивалентную электрическую ёмкость в цепи, изображённой на рисунке (14.47 а), если ёмкости конденсаторов известны.

Р е ш е н и е. Часто при решении задач, в которых требуется определить эквивалентную электрическую ёмкость, соединение конденсаторов не очевидно. В этом случае если удаётся определить точки цепи, в которых потенциалы равны, то можно соединить эти точки или исключить конденсаторы, присоединённые к этим точкам, так как они не могут накапливать заряд (Δφ = 0) и, следовательно, не играют роли при распределении зарядов.

В приведённой на рисунке (14.47, а) схеме нет очевидного параллельного или последовательного соединения конденсаторов, так как в общем случае φA ≠ φB в и к конденсаторам С1 и С2 приложены разные напряжения. Однако заметим, что в силу симметрии и равенства ёмкостей соответствующих конденсаторов потенциалы точек А и В равны. Следовательно, можно, например, соединить точки А и В. Схема преобразуется к виду, изображённому на рисунке (14.47, б). Тогда конденсаторы С1, так же как и конденсаторы С2, будут соединены параллельно и Сэкв определим по формуле 1/Сэкв = 1/2С1 + 1/2С2, откуда

С<sub>экв</sub> определим по формуле

Можно также просто не учитывать присутствие в схеме конденсатора СЗ, так как заряд на нём равен нулю. Тогда схема преобразуется к виду, изображённому на рисунке (14.47, в). Конденсаторы С1 и С2 соединены последовательно, следовательно,

Конденсаторы С1 и С2 соединены последовательно

Эквивалентные конденсаторы с С'экв соединены параллельно, так что окончательно получим такое же выражение для эквивалентной ёмкости:

Выражение для эквивалентной ёмкости

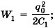
Задача 5. Энергия плоского воздушного конденсатора W1 = 2 • 10-7 Дж. Определите энергию конденсатора после заполнения его диэлектриком с диэлектрической проницаемостью ε = 2, если:

    1) конденсатор отключён от источника питания;

    2) конденсатор подключён к источнику питания.

Р е ш е н и е. 1) Так как конденсатор отключён от источника питания, то его заряд q0 остаётся постоянным. Энергия конденсатора до заполнения его диэлектриком после заполнения где С2 = εС1.

Тогда

Задачи для самостоятельного решения

1. Разность потенциалов между обкладками конденсатора ёмкостью 0,1 мкФ изменилась на 175 В. Определите изменение заряда конденсатора.

2. В пространство между пластинами плоского конденсатора влетает электрон со скоростью 2-107 м/с, направленной параллельно пластинам конденсатора. На какое расстояние по направлению к положительно заряженной пластине сместится электрон за время движения внутри конденсатора, если длина конденсатора равна 0,05 м и разность потенциалов между пластинами 200 В? Расстояние между пластинами конденсатора равно 0,02 м. Отношение модуля заряда электрона к его массе равно 1,76 • 1011 Кл/кг.

3. Плоский конденсатор зарядили при помощи источника тока напряжением U = 200 В. Затем конденсатор был отключён от этого источника тока. Каким станет напряжение U1 между пластинами, если расстояние между ними увеличить от первоначального d = 0,2 мм до d1 = 0,7 мм?

4. Определите ёмкость воздушного сферического конденсатора. Радиусы сфер R1 и R2.

5. В плоский воздушный конденсатор вставляется металлическая пластина толщиной d0. Заряд на обкладках конденсатора q. Конденсатор отключён от источника. Расстояние между пластинами d, площадь пластин S. Определите изменение ёмкости конденсатора и энергии его электрического поля.

Образцы заданий ЕГЭ

Чему равна разность потенциалов между обкладками конденсатора, если удлинение нити 0,5 мм?

C1. Маленький шарик с зарядом q = 4 • 10-7 Кл и массой 3 г, подвешенный на невесомой нити с коэффициентом упругости 100 Н/м, находится между вертикальными пластинами воздушного конденсатора (см. рис.). Расстояние между обкладками конденсатора 5 см. Чему равна разность потенциалов между обкладками конденсатора, если удлинение нити 0,5 мм?

C2. В плоский конденсатор длиной L = 5 см влетает электрон под углом а = 15° к пластинам. Энергия электрона W = 2,4 • 10-16 Дж. Расстояние между пластинами d = 1 см. Определите разность потенциалов между пластинами конденсатора U, при которой электрон на выходе из конденсатора будет двигаться параллельно пластинам. Заряд электрона qe = 1,6 • 10-19 Кл.

C3. Конденсаторы, электрическая ёмкость которых 2 мкФ и 10 мкФ, заряжают до напряжения 5 В каждый, а затем «плюс» одного из них подключают к «минусу» другого и соединяют свободные выводы резистором 1000 Ом. Определите количество теплоты, которая выделится в резисторе.


Повторите материал главы 14 по следующему плану

1. Выпишите основные понятия и физические величины и дайте им определение.

2. Сформулируйте законы и запишите основные формулы.

3. Укажите единицы физических величин и их выражение через основные единицы СИ.

4. Опишите основные опыты, подтверждающие справедливость законов.

Статическое электричество»

    1. История открытия электричества (Франклин, Гальвани, Вольта и др.).

    2. Скалярные и векторные поля. Сравнение электрического поля заряженной сферы и гравитационного поля Земли.

    3. Диэлектрики (сегнетоэлектрики, пьезоэлектрики, пироэлектрики, электролюминофоры и т. д.).

    4. Статическое электричество. Электризация тел в быту и на производстве. Способы защиты от статического электричества.

«Изготовление цилиндрического конденсатора. Исследование зависимости его электроёмкости от геометрических параметров и от наличия диэлектрика между пластинами. Определение электроёмкости конденсатора по зависимости q(U)»

 

 

???????@Mail.ru