Главная >> Электродинамика. Физика 10-11 класс. Мякишев

Глава 1. Электростатика

Теорема Гаусса

Для дальнейшего доказательства необходимо использовать понятие телесного угла.

Рассмотрим сферу радиусом r. Представим себе внутри этой сферы конус, вершина которого находится в центре сферы (рис. 1.41). Этот конус вырежет на сфере некоторую часть поверхности площадью S. Область пространства, ограниченную поверхностью конуса, называют телесным углом. Мерой телесного угла служит отношение площади S к квадрату радиуса r сферы:

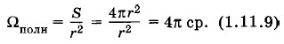
Нетрудно видеть, что значение телесного угла не зависит от радиуса сферы, так как площадь S вырезаемой им площадки пропорциональна квадрату радиуса. За единицу телесного угла принят стерадиан (ср) — это телесный угол с вершиной в центре сферы, вырезающий на поверхности сферы элемент, площадь которого равна квадрату радиуса сферы. Полный телесный угол, охватывающий все пространство вокруг точки, равен:

Выражение в формуле (1.11.7) есть не что иное, как значение телесного угла Δ, под которым виден элемент поверхности ΔS0 (или, что то же самое, элемент ΔS) из точки, где расположен заряд q:

Подставляя выражение (1.11.10) в уравнение (1.11.7), получим:

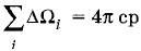
Суммируя подобные выражения для всех элементов ΔSi поверхности S, получим полный поток напряженности через замкнутую поверхность:

так как согласно (1.11.9). Итак, теорему Гаусса можно записать следующим образом:

теорема Гаусса

Если замкнутая поверхность не содержит внутри себя электрического заряда, то поток напряженности через нее равен нулю (рис. 1.42). Силовые линии, идущие от заряда q, либо не пересекают ее совсем, либо же пересекают четное число раз. При этом число линий, выходящих из поверхности, равно числу линий, входящих в нее, и поэтому N = 0. (Выходящие из поверхности линии вносят положительный вклад в поток, а входящие — отрицательный.)

Обобщение теоремы Гауссе

Теорема Гаусса легко обобщается на случай любого числа точечных зарядов. Поток напряженности через поверхность площадью S для каждого заряда определяется формулой (1.11.12). Вследствие принципа суперпозиции полей полный поток равен сумме потоков от всех зарядов. Поэтому, суммируя выражения (1.11.12) для всех зарядов, найдем:

Если алгебраическая сумма зарядов внутри поверхности равна нулю, то и N = 0.

Теорему Гаусса можно обобщить и для случая, когда заряд распределен в пространстве непрерывно. Это мы рассмотрим в следующем параграфе.

Коэффициент k в формуле (1.11.13) равен единице в абсолютной системе единиц и Поэтому теорема Гаусса в СИ не содержит множителя 4π:

Теорема Гаусса связывает поток напряженности электрического поля через замкнутую поверхность с полным зарядом внутри этой поверхности.

<<< К началу параграфа

 

 

???????@Mail.ru