Главная >> Электродинамика. Физика 10-11 класс. Мякишев

Глава 1. Электростатика

§ 1.16. Примеры решения задач

При решении задач с использованием понятия напряженности электрического поля необходимо знать формулы (1.9.3) и (1.9.5), определяющие силу, действующую на заряд со стороны электрического поля, и напряженность поля точечного заряда. Пользуясь принципом суперпозиции полей, можно вычислить напряженность поля заряженного тела с произвольно распределенным в пространстве зарядом. Этот заряд следует рассматривать как совокупность точечных зарядов. Полезно помнить формулы напряженности поля равномерно заряженной сферы (1.12.9) и равномерно (по объему) заряженного шара (1.12.15), а также поля равномерно заряженной плоскости (1.12.4).

Очень важно уметь свободно пользоваться понятием линий напряженности, дающих качественную картину распределения поля в пространстве.

Также необходимо хорошо знать поведение проводников и диэлектриков в электростатическом поле.

Задача 1

Положительный заряд q равномерно распределен по тонкому проволочному кольцу радиусом R. Найдите напряженность электрического поля на оси кольца в зависимости от расстояния h от центра кольца.

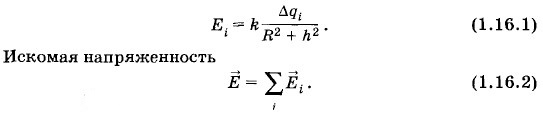
Решение. Напряженность поля в произвольной точке А на оси кольца равна геометрической сумме напряженностей (принцип суперпозиции), создаваемых отдельными малыми элементами длиной Δli заряженного кольца (рис. 1.64).

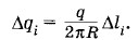
Заряд малого элемента кольца

Следовательно, модуль напряженности поля, создаваемого элементом кольца в точке А, равен:

Вследствие симметрии суммарный вектор лежит на оси кольца. Поэтому в проекции на ось Y (которая совпадает с осью симметрии кольца) равенство (1.16.2) запишется так:

Из рисунка видно, что Следовательно, с учетом

Сумма поэтому окончательно имеем:

Из этого выражения вытекает, что в центре кольца (h = 0) Е = 0.

Задача 2

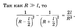
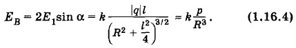
Свойства электрического диполя (системы из двух точечных зарядов +|q| и -|q|, находящихся на расстоянии l друг от друга) характеризуются его электрическим моментом Найдите напряженность поля электрического диполя с моментом в точке, отстоящей от центра оси диполя на расстоянии R » l в двух случаях:

    а) точка лежит на прямой, проходящей через ось диполя;
    б) точка лежит на прямой, перпендикулярной оси диполя и проходящей через ее центр.

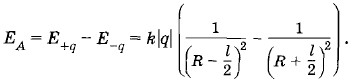
Решение. а) В первом случае, как это видно из рисунка 1.65, напряженность поля в точке А равна:

Следовательно, модуль вектора напряженности в точке А

Направлен вектор А вдоль оси диполя от него. Если бы точка А была взята слева от диполя (со стороны отрицательного заряда), то вектор A был бы направлен к диполю.

б) Во втором случае (см. рис. 1.65) напряженность поля, со зданного каждым из зарядов в точке В, равна:

Суммарный вектор напряженности параллелен оси диполя. Его модуль равен:

Заметим, что в обоих случаях напряженность убывает как т. е. быстрее, чем напряженность поля точечного заряда (пропорциональная ).

Задача 3

В сильном однородном электрическом поле напряженностью на одной силовой линии в точках 1 и 2, расположенных на расстоянии l0 друг от друга, находятся протон (р) и электрон (е) (рис. 1.66). Начальная скорость обеих частиц равна нулю. Чему равно расстояние между частицами спустя время х после начала движения?

Решение. Направим ось X по направлению силовой линии , а начало отсчета совместим с точкой 2, где вначале находился электрон. Пренебрегая взаимодействием частиц друг с другом (сильное поле), можно считать движение электрона и протона равноускоренным. Тогда, согласно известной кинематической формуле, координата протона в момент времени хравна:

где е — заряд, а mр — масса протона.

Координата электрона

где me — масса электрона. Искомое расстояние

так как mp » me.

Окончание параграфа >>>

 

 

???????@Mail.ru