Главная >> Электродинамика. Физика 10-11 класс. Мякишев

Глава 1. Электростатика

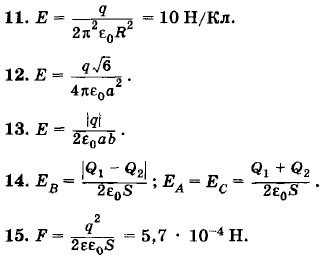
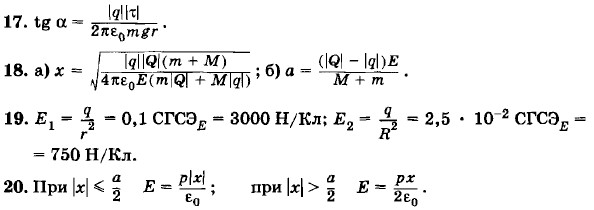
Ответы к упражнению 2

1. ЕВ = 5,3 • 105 Н/Кл.

2. EC = 16 Н/Кл.

5. r = 8 • 10-7 м.

9. дин, если напряженность электрического поля направлена вниз; дин, если напряженность электрического поля направлена вверх.

10. Нет, не может. Для того чтобы, к примеру, положительный заряд находился в состоянии устойчивого равновесия, необходимо, чтобы при смещении заряда в любом направлении на него действовала сила, возвращающая заряд в положение равновесия. Следовательно, линии напряженности поля должны сходиться в точке, где расположен заряд. Но линии напряженности электрического поля начинаются на положительных зарядах и оканчиваются на отрицательных. В точке же, где расположен рассматриваемый заряд, отрицательных зарядов нет, и, следовательно, линии напряженности внешнего по отношению к заряду поля не могут сходиться в точке, где он расположен.

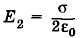
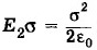
16. Напряженность поля на малом участке поверхности пузыря, созданного всеми зарядами пузыря, за исключением зарядов на самом участке, (см. задачу 5 из § 1.16). Сила, действующая на участок поверхности единичной площади, равна (здесь — поверхностная плотность заряда).

 

 

???????@Mail.ru