Главная >> Электродинамика. Физика 10-11 класс. Мякишев

Глава 1. Электростатика

§ 1.18. Потенциальная энергия заряда в однородном электрическом поле. Энергия взаимодействия точечных зарядов

Вычислим потенциальную энергию электрических зарядов для наиболее простых, но очень важных частных случаев.

Потенциальная энергия заряда в однородном поле

Пусть заряд q перемещается в однородном электрическом поле с напряженностью из точки 1 в точку 2. Положение точки 1 определяется радиусом-вектором 1, а точки 2 радиусом-вектором 2. Действующая на заряд сила постоянна. Работа силы не зависит от формы траектории, соединяющей точки 1 и 2. Это следует из общего доказательства потенциальности электростатического поля. Можно провести доказательство и с помощью непосредственного вычисления работы при перемещении заряда по разным путям точно так же, как это было сделано в «Механике» для гравитационных сил. Сейчас мы это делать не будем.

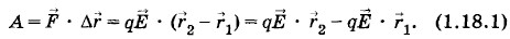
Проще всего вычислить работу, если заряд перемещается вдоль прямой, соединяющей точку 1 и точку 2 (рис. 1.78). Вектор перемещения Δ = 2 - 1 Работа равна скалярному произведению силы на перемещение:

С другой стороны, согласно (1.17.1), А = -(Wp2 - Wp1). Сравнивая выражения (1.18.1) и (1.17.1), получим выражение для потенциальной энергии заряда в однородном поле:

Однородное поле создается, в частности, в пространстве между параллельными пластинами, несущими заряды противоположных знаков (рис. 1.79). Естественно выбрать систему координат так, чтобы ось X была направлена перпендикулярно пластинам. Тогда проекции Еy и Еz равны нулю и выражение (1.18.2) приобретает вид:

Формула (1.18.3) подобна формуле Wp = mgh для потенциальной энергии тела над поверхностью Земли. Роль массы играет заряд, ускорения свободного падения — напряженность поля, а вместо высоты h стоит координата х. Но знак энергии другой: минус вместо плюса. Дело здесь вот в чем. Масса всегда положительна, и сила тяготения обязательно направлена вертикально вниз. С учетом этих обстоятельств и была записана формула Wp = mgh. В ней стоит модуль ускорения свободного падения, и высота h отсчитывается от поверхности Земли. Формула (1.18.3) является более общей. Заряд q может быть как положительным, так и отрицательным; напряженность поля может быть направлена куда угодно, и ее проекция может иметь как положительное значение, так и отрицательное в зависимости от выбора системы координат.

В частности, если напряженность поля направлена вертикально вниз, а ось X вверх, то

Wp = qE|x| (1.18.4)

в точном соответствии с выражением Wp = mgh.

Если электрическое поле совершает положительную работу, то энергия заряженного тела в поле уменьшается: ΔWp < 0. Одновременно растет его кинетическая энергия. На этом основано ускорение электронов электрическим полем в электронных лампах, телевизионных трубках и т. д. И наоборот, если работа отрицательна (например, при движении положительно заряженной частицы в направлении, противоположном направлению напряженности поля ), то ΔWp > 0. Такое движение заряженной частицы подобно движению камня, брошенного вверх. Потенциальная энергия частицы при этом растет, а кинетическая энергия уменьшается: частица тормозится.

Нулевой уровень потенциальной энергии

Потенциальная энергия в электродинамике определяется, как и в механике, с точностью до произвольной постоянной. Вместо выражения (1.18.2) мы могли бы написать:

где С — произвольная константа. При этом изменение потенциальной энергии остается тем же, а работа определяет именно изменение потенциальной энергии, а не саму энергию. Записывая формулу (1.18.2), мы фактически приравняли постоянную С к нулю. Это соответствует определенному выбору нулевого уровня потенциальной энергии. Например, для случая, изображенного на рисунке 1.79, потенциальная энергия считается равной нулю на поверхности пластины В. Но, как и при действии сил тяготения, нулевой уровень потенциальной энергии выбирают произвольно. Можно считать, что Wp = 0 на расстоянии х1 от пластины В. Тогда

Физический смысл имеет не сама потенциальная энергия, а разность ее значений, определяемая работой поля при перемещении заряда из начального положения в конечное.

Окончание параграфа >>>

 

 

???????@Mail.ru