Главная >> Электродинамика. Физика 10-11 класс. Мякишев

Глава 1. Электростатика

Примеры решения задач

Задача 4

Небольшой шарик соединяют проводом с заземленным электрометром (см. рис. 1.87). Касаясь шариком различных точек проводника, ограниченного цилиндрической и коническими поверхностями, наблюдают одинаковое отклонение стрелки электрометра при любом положении шарика. Затем соединительный провод убирают и наблюдают, что отклонение стрелки электрометра, к стержню которого подносят шарик, неодинаково и зависит от того, какой точки поверхности проводника (внутренней или внешней) предварительно коснулись шариком. Почему?

Решение. Электрометр измеряет разность потенциалов между данным телом и землей. Так как поверхность проводника эквипотенциальна, то в первом случае стрелка отклоняется на один и тот же угол при любом положении шарика.

Во втором случае отклонение стрелки определяется потенциалом шарика относительно земли в тот момент, когда его приводят в соприкосновение с электрометром. Этот потенциал зависит от заряда шарика, его размеров и расположения окружающих предметов. В момент соприкосновения шарика с проводником его потенциал делается равным потенциалу проводника, но его заряд будет зависеть от того, какого участка поверхности касаются. Если касаются внутренней конической поверхности проводника, то заряд шарика равен нулю, так как весь заряд проводника распределен по его внешней поверхности. Если же касаются шариком внешней поверхности проводника, то заряд шарика будет отличен от нуля.

Во время перемещения шарика его потенциал непрерывно меняется, так как меняется положение шарика относительно окружающих предметов. Различные значения потенциала шарика в момент соприкосновения его со стержнем электрометра обусловлены только различием в значениях заряда шарика, так как расположение относительно него окружающих предметов в этот момент неизменно. Максимальный заряд будет на вершине конической поверхности (острие).

Задача 5

Незаряженный металлический шар радиусом г окружен концентрической проводящей сферой радиусом R. Сфера заряжена до потенциала φ0 (относительно земли). Чему станет равен потенциал внешней сферы, если незаряженный шар заземлить (рис. 1.94)?

Решение. До заземления заряд внешней сферы q создает на ее поверхности потенциал После заземления на внутреннем шаре наведется заряд q1 (см. рис. 1.94), который можно найти из условия, что потенциал заземленного шара равен нулю.

Согласно принципу суперпозиции полей потенциал шара равен:

Потенциал на внешней сфере после заземления шара создается зарядами q и q1:

Задача 6

Положительный заряд +q0 равномерно распределен по тонкому проволочному кольцу радиусом R. В центре кольца находится точечный заряд -q, масса которого m. Этому заряду сообщается начальная скорость вдоль оси кольца. Определите характер движения заряда, в зависимости от начальной скорости считая, что он движется вдоль оси кольца. Кольцо неподвижно.

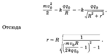
Решение. Полная энергия заряда в начальный момент равна сумме кинетической энергии и потенциальной энергии в электростатическом поле кольца -φ0q, где — потенциал в центре кольца:

При W ≥ 0 заряд уйдет на бесконечность. Причем его скорость на бесконечно большом расстоянии будет равна нулю, если W = 0. Если W > 0, скорость заряда на бесконечно большом расстоянии от кольца равна:

Если же W < 0, то заряд будет совершать периодическое движение (колебание) вдоль оси кольца. Наибольшее расстояние r, на которое при этом удалится заряд от центра кольца, можно найти из закона сохранения энергии:

Задача 7

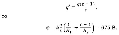
Уединенный металлический шар радиусом R = 10 см окружен диэлектриком (ε = 2). Диэлектрик образует сферический слой с радиусами R1 = 10 см и R2 = 20 см. Найдите потенциал шара, если его заряд q = 10-18 Кл.

Решение. Диэлектрик, окружающий шар, под действием поля шара поляризуется. В результате на внутренней поверхности диэлектрика появляется поляризационный заряд -q', знак которого противоположен знаку заряда шара q, а на внешней поверхности диэлектрика — поляризационный заряд q', одинаковый по знаку с зарядом q. Следовательно, потенциал шара, согласно принципу суперпозиции, равен сумме потенциалов полей, образуемых зарядами q, -q’ и q':

Так как поляризационный заряд (см. задачу 7 в § 1.16) равен:

<<< К началу параграфа

 

 

???????@Mail.ru