Главная >> Электродинамика. Физика 10-11 класс. Мякишев

Глава 1. Электростатика

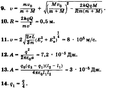
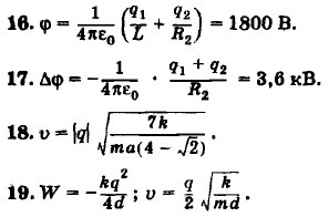
Ответы к упражнению 3

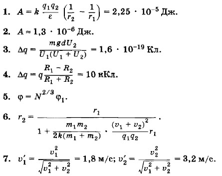
8. Согласно условию задачи электроны вначале будут сближаться, двигаясь по траекториям одинаковой формы. Эти траектории симметричны относительно оси X, проходящей через середину отрезка АВ и расположенной перпендикулярно к нему (рис. 1). После сближения на минимальное расстояние r электроны начнут удаляться друг от друга. Вследствие симметрии на минимальном расстоянии электроны имеют одинаковые скорости й, параллельные оси X. Эта скорость определяется Из закона сохранения импульса:

В проекциях на ось X имеем:

2mυ ain α = 2mu.

Отсюда u = υ sin α. Теперь применим закон сохранения энергии:

15. φ'1 = φ2.

Указание. Воспользоваться решением задачи 7 в § 1.16.

 

 

???????@Mail.ru