Главная >> Электродинамика. Физика 10-11 класс. Мякишев

Глава 1. Электростатика

Электрическая емкость

Зависимость емкости проводника от окружающих тел

В действительности ни один проводник не является, строго говоря, уединенным. Вблизи любого заряженного тела находятся те или иные предметы. И в этих случаях можно говорить об электрической емкости проводника, но она будет зависеть от расположения окружающих тел. В этом можно убедиться на опыте.

Возьмем электрометр и заземлим его корпус. К стержню электрометра прикрепим полый металлический шар с отверстием. Сообщим электрометру заряд q с помощью маленького металлического шарика на изолирующей ручке. Для этого коснемся заряженным шариком внутренней поверхности сферы (рис. 1.96, а). Весь заряд шарика при этом перейдет к электрометру. Возникает разность потенциалов между стержнем электрометра и землей, и его стрелка отклоняется. Сообщим электрометру еще такой же заряд* q. Потенциал стержня относительно земли возрастает в 2 раза. Следовательно, отношение заряда к потенциалу постоянно и равно емкости металлического шара со стержнем.

    * Два одинаковых заряда можно получить, например, так: коснуться двумя одинаковыми шариками на изолирующей ручке большого заряженного шара и одновременно отвести от шара.

Но стоит поднести к шару ладони рук (не касаясь его), как стрелка электрометра приблизится к вертикали. Потенциал шара уменьшается, и, значит, емкость возрастает. Такой же эффект наблюдается при поднесении незаряженного диэлектрика к диску на стержне электрометра (см. § 1.14).

Почему это происходит? Потенциал проводника определяется не только зарядом на его поверхности. Согласно принципу суперпозиции (1.19.5) потенциал поля в некоторой точке равен сумме потенциалов, создаваемых всеми заряженными телами. Незаряженные тела также влияют на потенциал проводника, так как под действием поля шара на поверхностях проводников появляются свободные заряды противоположных знаков (вследствие электростатической индукции), а у диэлектриков — связанные заряды (вследствие поляризации).

Зависимость емкости проводника

С помощью электрометра можно обнаружить зависимость емкости проводника от его размеров. Укрепим на стержне полый шар меньшего радиуса. Если теперь сообщить ему такой же заряд q, как и в первом опыте, то потенциал стержня оказывается большим (рис. 1.96, б). Это означает уменьшение емкости с уменьшением размера шара.

Единицы электроемкости

Формула (1.24.2) позволяет ввести единицы электроемкости. В СИ единицей емкости является фарад (Ф).

Емкостью в 1 Ф обладает такой проводник, у которого потенциал возрастает на 1 В при сообщении ему заряда 1 Кл.

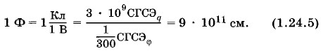
В системе СГСЭ за единицу емкости в соответствии с формулой (1.24.4) принимают емкость шара радиусом 1 см в вакууме. Эта единица — сантиметр.

Нетрудно видеть, что

Емкость в 1 Ф очень велика. Уединенный шар, обладающий такой емкостью, имел бы радиус, в 13 раз превышающий радиус Солнца. Поэтому на практике часто используют доли этой единицы: микрофарад (мкФ) — 10-6 Ф и пикофарад (пФ) — 10-12 Ф. Емкость земного шара равна 709 мкФ.

Формула (1.24.3) позволяет выразить электрическую постоянную ε0 через емкость и размеры проводника:

Это означает, что электрическую постоянную можно выражать в фарадах на метр (Ф/м).

Важная характеристика проводника — электрическая емкость. Емкость проводника тем больше, чем меньше потенциал, который он приобретает при сообщении ему заряда.

<<< К началу параграфа

 

 

???????@Mail.ru