Главная >> Электродинамика. Физика 10-11 класс. Мякишев

Глава 1. Электростатика

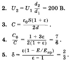
Ответы к упражнению 4

1. Будет. Каждая из пластин обладает определенной, обычно небольшой, емкостью относительно Земли. (Это происходит из-за того, что вблизи краев пластин линии напряженности искривляются и достигают Земли.) Эквивалентная схема показана на рисунке 2. Емкость пластин относительно Земли изображена в виде конденсаторов С1 и С2. При заземлении левой пластины нейтрализуется часть заряда, находящегося на ней. Это же произойдет при заземлении правой пластины. Конденсатор будет разряжаться тем медленнее, чем больше емкость конденсатора по сравнению с емкостью каждой пластины относительно земли.

6. Приближенно оценить емкость тела человека можно, полагая, что человек имеет форму шара. Плотность его тела примерно равна плотности воды, т. е. ρ = 1000 кг/м3. Для человека, масса которого m = 80 кг, можно записать:

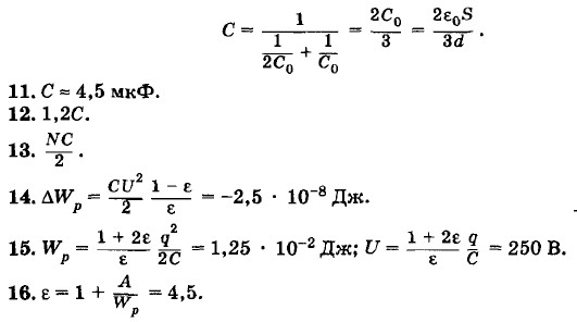
10. Образовавшийся сложный конденсатор можно рассматривать как батарею, состоящую из трех одинаковых конденсаторов емкостью конденсатора I с пластинами 1 и 2, конденсатора II с пластинами 2 и 3 и конденсатора III с пластинами 3 и 4 (см. рис. 1.116). Конденсаторы I и II соединены параллельно (пластины 1 и 3 имеют равные потенциалы, так как они соединены проводником, а пластина 2 у них общая). Конденсатор III присоединен к этой паре последовательно: его «плюсовая» пластина 3 является одновременно и «минусовой» пластиной конденсатора II. В результате получаем схему соединения конденсаторов (рис. 3), из которой находим:

17. К ошибочному результату мы пришли потому, что не учли одно из фундаментальных свойств электростатического поля — его потенциальный характер: работа сил поля при перемещении заряженной частицы по замкнутой траектории равна нулю.

При движении заряженной частицы внутри конденсатора электрическое поле ускоряет, а вне конденсатора — тормозит ее, и, когда частица подлетает к отверстию в верхней пластине, ее энергия принимает прежнее значение. Это означает, что в рассматриваемом примере мы не можем пренебрегать электростатическим полем вне плоского конденсатора. Оно, правда, значительно слабее поля между обкладками, но в нем частица пролетает гораздо больший путь. В результате в тормозящем поле вне конденсатора частица теряет как раз ту энергию, которую приобретает внутри конденсатора.

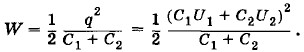
18. Энергия конденсаторов до соединения была равна:

После соединения заряд батареи конденсаторов стал равен q = q1 + + q2, а энергия батареи

Разность энергий

Энергия конденсаторов уменьшилась вследствие того, что при их соединении проводниками заряды перетекали с одного конденсатора на другой. В проводниках, соединяющих конденсаторы, выделялась при этом теплота. Количество выделенной теплоты не зависит от сопротивления соединительных проводов. При малом сопротивлении проводов в них будут протекать большие токи и наоборот. Если соединительные провода и обкладки не обладают сопротивлением (сверхпроводимость), то в системе возникнут электромагнитные колебания. Они в конце концов затухнут за счет излучения электромагнитных волн.

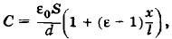
19. Когда диэлектрик втянут на расстояние х, конденсатор можно рассматривать как батарею, состоящую из двух параллельно соединенных конденсаторов (см. рис. 1.120). Ее емкость равна:

а заряд Энергия конденсатора в этом случае равна:

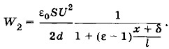
Если х увеличить на δ, то энергия конденсатора уменьшится. Она станет равной:

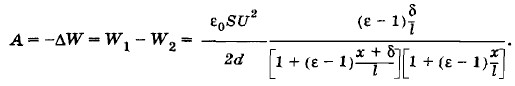
Работа искомой силы F на пути δ равна изменению энергии, взятому с противоположным знаком:

Значение силы F, вообще говоря, изменяется. Но если путь δ достаточно мал, то можно считать, что

если пренебречь величиной 8 в знаменателе.

Примечание. В то время как при подсчете энергии мы считали, что поле внутри конденсатора однородно, и пренебрегали краевыми эффектами для физического объяснения происхождения силы, действующей на диэлектрик, обязательно надо учитывать неоднородность поля у краев.

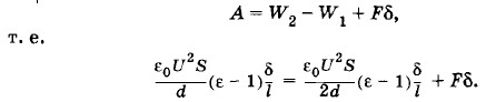
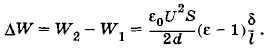
20. Энергия конденсатора в случае, когда диэлектрик втянулся на расстояние х внутрь конденсатора, равна:

Если х увеличить на δ, то энергия конденсатора увеличится на

Заряд на обкладках конденсатора при перемещении диэлектрика на расстояние δ увеличится на

Работа, совершаемая источником напряжения при перемещении такого количества электричества, равна:

За счет этой работы увеличивается электростатическая энергия конденсатора и совершается работа по втягиванию диэлектрика. Если через F обозначить силу, с которой втягивается диэлектрик в конденсатор, то на основании закона сохранения энергии имеем:

Отсюда

В этом случае, как мы видим, сила постоянна и не зависит от х.

 

 

???????@Mail.ru