Главная >> Электродинамика. Физика 10-11 класс. Мякишев

Глава 2. Постоянный электрический ток

§ 2.2. Плотность тока. Сила тока

Количественно электрический ток характеризуется векторной величиной — плотностью электрического тока и скалярной величиной — силой тока I.

Плотность тока

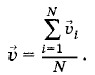
Введем понятие плотности электрического тока для наиболее простого случая упорядоченного движения одинаковых заряженных частиц. Выделим в среде, в которой существует ток, очень малый объем в форме прямого цилиндра с площадью основания ΔS (рис. 2.5). Цилиндр ориентирован так, что его основания перпендикулярны скорости упорядоченного движения частиц Под скоростью упорядоченного движения частиц в малом объеме ΔV (но содержащем много частиц) мы понимаем отношение геометрической суммы скоростей частиц к числу их в этом объеме:

Средняя скорость хаотически движущихся частиц равна нулю.

Высота цилиндра пусть равна пути υΔt, проходимому частицами за время Δt. Здесь υ — модуль скорости упорядоченного движения частиц. Тогда все заряженные частицы, находящиеся внутри цилиндра, за время Δt пересекут правое основание цилиндра с площадью ΔS. Если концентрация заряженных частиц в среде n, то за время Δt через сечение с площадью ΔS будет перенесен заряд Δq = q0nυΔtΔS, где q0 — заряд отдельной частицы.

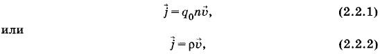
Вектором плотности тока называют вектор, направление которого совпадает с направлением скорости упорядоченного движения положительно заряженных частиц, а модуль равен отношению заряда, переносимого за время Δt через сечение площадью ΔS, расположенное перпендикулярно к скорости движения, к произведению ΔS • Δt:

где р = q0n — пространственная плотность электрического заряда.

В случае движения отрицательно заряженных частиц (q0 < 0) векторы направлены противоположно друг другу. Если среда однородна, то модуль плотности тока численно равен электрическому заряду, переносимому в единицу времени через единичную площадку, перпендикулярную скорости

Сила тока

Вектор плотности тока представляет собой локальную (или дифференциальную) характеристику тока: он определяет переносимый заряд через малую площадку в проводящей среде и направление движения заряженных частиц. Введем теперь полную для всего сечения характеристику тока — силу тока*.

    * Термин сила тока нельзя считать удачным, так как слово «сила», применяемое к току, не имеет никакого отношения к понятию «сила» в механике. Но термин «сила тока» был введен давно и утвердился в науке.

Силой тока называют отношение заряда Δq, переносимого через поперечное сечение проводника площадью S за промежуток времени Δt, к этому промежутку:

Формула (2.2.3) выражает среднее за время Δt значение силы тока.

Сила тока в данный момент — мгновенная сила тока — представляет собой предел отношения электрического заряда Δq, прошедшего через поперечное сечение проводника за малый промежуток времени Δt, к этому промежутку при Δt, стремящемуся к нулю:

Если за любые равные между собой промежутки времени через поперечное сечение проводника проходят одинаковые заряды, т. е. если сила тока не изменяется с течением времени, то электрический ток называют постоянным. Сила постоянного тока численно равна заряду, проходящему через поперечное сечение проводника за 1 с:

Сила тока, подобно заряду, может быть как положительной, так и отрицательной. Знак силы тока зависит от того, какое из направлений вдоль проводника принято за положительное. Сила тока I > 0, если направление тока совпадает с условно выбранным положительным направлением вдоль проводника. В противном случае I < 0.

Сила тока однозначно выражается через плотность тока. В частном случае при равномерном распределении плотности тока по сечению проводника сила тока

I = jnS,                     (2.2.6)

где jn = jcos α — проекция вектора плотности тока на нормаль к плоскости сечения проводника, а S — площадь этого сечения (рис. 2.6). Направление нормали совпадает с условно выбранным направлением обхода. Знак силы тока определяется знаком косинуса угла α между направлением вектора плотности тока и направлением нормали . Если направления векторов и совпадают, то α = 0 и сила тока

I = jS = |q0|nυS                     (2.2.7)

выражается положительным числом.

Таким образом, сила тока в проводнике прямо пропорциональна заряду, переносимому каждой частицей, концентрации частиц, скорости их направленного движения и площади поперечного сечения проводника.

Окончание параграфа >>>

 

 

???????@Mail.ru