Главная >> Электродинамика. Физика 10-11 класс. Мякишев

Глава 2. Постоянный электрический ток

2.10. Примеры решения задач (окончание)

Задача 7

схема потенциометра

На рисунке 2.33 изображена схема потенциометра (делителя напряжения) — устройства, предназначенного для получения плавно изменяемого напряжения U от источника постоянного напряжения U0 (U ≤ U0). Сопротивление потенциометра R0 = 4 кОм, напряжение U0 = 220 В. Определите напряжение U на нагрузке (потребителе), сопротивление которой R = 10 кОм, когда скользящий контакт D установлен посередине проводника АВ.

Решение. В цепи имеются два последовательно соединенных участка: участок AD, состоящий из половины проводника АВ (сопротивлением R0/2) и нагрузки (сопротивлением R), соединенных параллельно, и участок DB сопротивлением R0/2. Сопротивление участка AD равно:

Сопротивление участка

Общее сопротивление цепи:

Общее сопротивление

Сила тока в цепи:

Сила тока в цепи

Искомое напряжение

Искомое напряжение

Задача 8

Найдите сопротивление шестиугольника, изображенного на рисунке 2.34, если напряжение подведено к точкам А и В. Сопротивление каждого проводника схемы равно R.

Решение. Заменим первоначальную схему (см. рис. 2.34) эквивалентной схемой (рис. 2.35). Допустимость такой замены можно обосновать следующим образом. Ввиду симметрии схемы (см. рис. 2.35) относительно оси (прямой) АВ потенциалы в точках С1 и С2 одинаковы (φ1 = φ2). Поэтому эти точки можно соединить в одну точку С и получить таким образом исходную схему (см. рис. 2.34).

Сопротивление цепи по схеме рисунка 2.35 легко вычислить. Верхняя ветвь обладает сопротивлением Таково же сопротивление нижней ветви. Сопротивление средней ветви R2 = 2R. Согласно формуле (2.8.11) имеем:

Задача 9

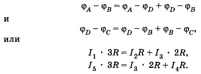
Определите общее сопротивление R0 цепи, схема которой изображена на рисунке 2.36.

Решение. Зададим (произвольно) направления токов в ветвях (см. рис. 2.36). Запишем по первому правилу Кирхгофа уравнения для узлов А, В и D:

I0 = I1 + I2 (для узла А);
I4 = I1 + I3 (для узла В);
I2 = I3 + I5 (для узла D),

где I0, I1, ..., I5 — модули сил токов в неразветвленной части цепи и в отдельных ветвях.

Еще два уравнения можно записать, пользуясь тем, что падения напряжений на участках АВ и DC соответственно равны сумме падений напряжений на участках AD и DB, DB и ВС:

В итоге мы получили систему уравнений:

Искомое сопротивление R0 можно определить, пользуясь тем, что разность потенциалов между точками (узлами) А и С равна либо I0R0, либо I1 • 3R + I4R, так как φA - φС = φA - φВ + φВ - φС.

Таким образом,

I0R0 = (3I1 + I4)R.

Решая систему уравнений (2.10.5), найдем, что

Отсюда

Задача 10

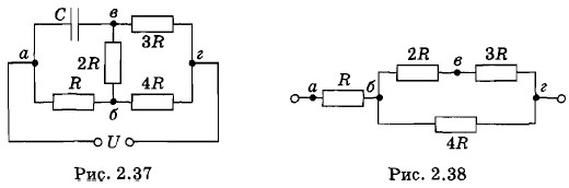
В схеме, изображенной на рисунке 2.37, сопротивления резисторов, емкость конденсатора и напряжение на зажимах цепи известны. Определите заряд на конденсаторе.

Решение. При расчете цепей постоянного тока, содержащих конденсаторы, следует обратить внимание на то, что постоянный ток через конденсатор не проходит. Поэтому режим данной цепи не изменится, если конденсатор из нее исключить. После этого получим схему, изображенную на рисунке 2.38.

Чтобы найти заряд на конденсаторе, надо найти разность потенциалов на его обкладках: φа - φв. Из рисунка 2.37 видно, что

φа - φв = φа - φб + φб - φв = Ua6 + U.

Общее сопротивление цепи

Общее сопротивление цепи

Сила тока в верхней ветви участка бг, равная силе тока в резисторе сопротивлением 2R, определится так:

Заряд на конденсаторе

Заряд на конденсаторе

Задача 11

Измерительный прибор с внутренним сопротивлением R0 = 75 Ом имеет шкалу на n = 150 делений. Цена деления U0 = 10 мВ/дел. Как этим прибором измерить: а) силу тока до I = 1,5 А; б) напряжение до U = 750 В?

Решение. а) Для того чтобы измерительный прибор превратить в амперметр, надо параллельно прибору включить шунт. Рассчитаем его сопротивление. Предел измерительного прибора по напряжению равен U — nU0, а по силе тока, согласно закону Ома,

Число, показывающее, во сколько раз надо расширить предел измерения прибора, чтобы измерять им силу тока I, равно:

Итак, для измерения силы тока до I = 1,5 А надо параллельно прибору включить шунт сопротивлением

б) Для использования измерительного прибора в качестве вольтметра для измерения напряжения до U = 750 В надо, согласно соотношению (2.9.4), последовательно с прибором включить дополнительный резистор сопротивлением

<<< К началу параграфа

 

 

???????@Mail.ru