Главная >> Электродинамика. Физика 10-11 класс. Мякишев

Глава 2. Постоянный электрический ток

§ 2.18. Примеры решения задач (окончание)

Задача 6

Найдите силы токов в каждой ветви электрической цепи, схема которой показана на рисунке 2.65. 1 = 6,5 В; 2 = 3,9 В; R1 = R2 = R3 = R4 = R5 = R6 = 10 Ом. Внутренние сопротивления источников не учитывать.

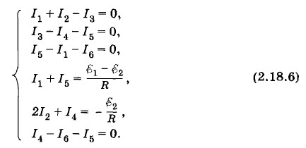
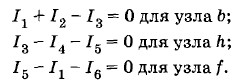
Решение. Зададим произвольно направления токов (см. рис. 2.65). Применим первое правило Кирхгофа для узлов b, h и f (для упрощения записей модули сил токов обозначим буквами I1, I2, I3 и т. д.):

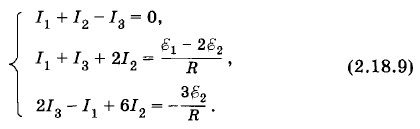
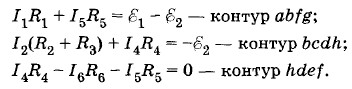
Теперь применим второе правило Кирхгофа для контуров. Выберем произвольно направление обхода контуров: контура abƒg — по часовой стрелке; контура bcdh — против часовой стрелки и контура hdeƒ — по часовой стрелке (и здесь для упрощения записей модули ЭДС источников обозначим буквами 1 и 2):

Учитывая, что R1 = R2 = R3 = R4 = R5 = R6 = R, получим в итоге следующую систему уравнений:

Решение такой системы уравнений требует терпения и внимательности. Решим эту систему последовательным исключением неизвестных величин.

Из последнего уравнения системы (2.18.6) находим I5 = I3 - I4. Подставив значение I5 в третье уравнение, получим систему:

Из третьего уравнения системы (2.18.8) находим Подставив это значение тока во второе и четвертое уравнения, получим систему:

Из первого уравнения следует: I3 = I1 + I2. После подстановки значения тока I3 во второе и третье уравнения получаем:

Наконец, из второго уравнения находим и подставляем в первое уравнение. Это дает

Отрицательные значения сил токов I2, I4 и I6 означают, что при данных значениях ЭДС и сопротивлений эти токи имеют направления, противоположные указанным на рисунке.

Задача 7

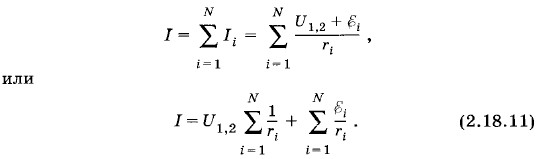
Батарея состоит из N параллельно соединенных источников тока (рис. 2.66). Определите ЭДС и внутреннее сопротивление источника тока, эквивалентного этой батарее.

Решение. Обозначим ЭДС параллельно соединенных источников через 1, 2, ..., N, а их внутренние сопротивления — через r1, r2, ..., rN Замкнем полюса данной батареи на резистор сопротивлением R, тогда по цепи пойдет ток. Силу тока в отдельных ветвях обозначим через I1, I2, ..., IN, а в резисторе — через I.

Применив закон Ома (2.15.3) для участка цепи, содержащего ЭДС, для каждой ветви (см. рис. 2.66), получим:

Согласно первому правилу Кирхгофа

Пусть и r — соответственно ЭДС и внутреннее сопротивление источника, эквивалентного данной батарее. Тогда, заменив батарею эквивалентным ей источником, будем иметь:

Сравнивая выражения (2.18.11) и (2.18.12), видим, что

Таким образом, при параллельном соединении нескольких источников тока полученную батарею можно заменить эквивалентным источником тока, ЭДС которого ε и внутреннее сопротивление r можно найти из формул (2.18.13) и (2.18.14).

Если все источники тока одинаковы и соединены одноименными полюсами, то из формул (2.18.13) и (2.18.14) следует, что

где б и rб — ЭДС и внутреннее сопротивление батареи, а э и rэ — ЭДС и внутреннее сопротивление одного элемента.

Задача 8

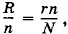
Можно ли с помощью 24 аккумуляторов, каждый из которых имеет ЭДС 0 = 2 В и внутреннее сопротивление r — 0,3 Ом, соединяя их в отдельные одинаковые группы, получить во внешней цепи сопротивлением R = 0,2 Ом силу тока I = 21 А?

Решение. Возможны два способа соединения аккумуляторов. Можно внутри отдельных групп соединить аккумуляторы последовательно, а сами группы — параллельно, или же, наоборот, внутри группы — параллельно, а сами группы — последовательно.

Обозначим через N полное число аккумуляторов, а через n — число аккумуляторов внутри отдельной группы. Тогда в первом случае сила тока равна:

так как ЭДС одной группы равна n0, сопротивление группы nr, а число параллельно соединенных групп

Сила тока I1 достигнет максимума, когда значение знаменателя будет минимальным.

Для нахождения минимума выражения вычтем из него и добавим к нему выражение Получим:

Это выражение минимально при т. е. при Оно равно (выражение в скобках равно нулю). Следовательно,

Осуществив такие же преобразования , как и в первом случае, найдем, что сила тока достигает максимума при когда знаменатель выражения (2.18.18) имеет минимальное значение, равное

Таким образом, получить во внешней цепи силу тока, превышающую 20 А, невозможно.

<<< К началу параграфа

 

 

???????@Mail.ru