Главная >> Электродинамика. Физика 10-11 класс. Мякишев

Глава 2. Постоянный электрический ток

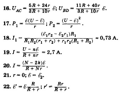
Ответы к упражнению 6

5. Сопротивления внешнего и внутреннего участков цепи должны быть равны между собой.

7. См. рис. 5, а, б.

9. При зарядке аккумулятора U1 = + Ir = 5 В, а при разрядке U2 = = Ir = 3 В.

10. Соответствующие распределения потенциала изображены на рисунке 6, а—г.

23. При условии, что внешнее сопротивление цепи равно внутреннему сопротивлению одного элемента.

24. Последовательно.

 

 

???????@Mail.ru