Главная >> Электродинамика. Физика 10-11 класс. Мякишев

Глава 1. Электростатика

§ 1.4. Взаимодействие неподвижных электрических зарядов внутри однородного диэлектрика

Силы взаимодействия заряженных тел в отличие от сил всемирного тяготения зависят от свойств среды, в которой находятся эти заряженные тела.

Пусть заряженные шарики помещены в однородный изолятор, или диэлектрик*.

    Изоляторы в физике обычно называют диэлектриками (от греч. dia — врозь и англ, electric — электрический); термином «диэлектрик» обозначают вещества, через которые передаются электромагнитные взаимодействия.

При этом лучше использовать жидкий диэлектрик (керосин, масло и т. д.), так как измерить силу взаимодействия заряженных тел внутри твердого диэлектрика трудно из-за возникающих в нем упругих напряжений.

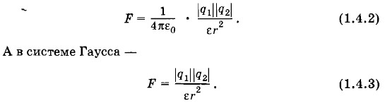
Сила взаимодействия между зарядами в однородном диэлектрике, как показывает опыт, всегда меньше, чем в вакууме. Причем отношение силы F0 взаимодействия зарядов в вакууме к силе взаимодействия F этих же зарядов на том же расстоянии в среде не зависит ни от самих зарядов, ни от расстояния между ними. Оно определяется только свойствами среды. Если обозначить это отношение через ε, то

Отсюда следует, что закон Кулона для взаимодействия зарядов в среде в Международной системе имеет вид:

Величину ε называют диэлектрической проницаемостью среды.

Диэлектрическая проницаемость среды — это физическая величина, характеризующая электрические свойства вещества и показывающая, во сколько раз сила взаимодействия зарядов в данной среде меньше силы их взаимодействия в вакууме. Она является безразмерной величиной. Для вакуума ε = 1. Впоследствии мы выясним причину, по которой сила взаимодействия зарядов в диэлектрике меньше, чем в вакууме.

Значения диэлектрической проницаемости некоторых веществ приведены в таблице 2.

Значения диэлектрической проницаемости

В однородной среде сила взаимодействия заряженных тел уменьшается в ε раз (ε — диэлектрическая проницаемость среды).

 

 

???????@Mail.ru