Главная >> Электродинамика. Физика 10-11 класс. Мякишев

Глава 3. Электрический ток в различных средах

Несамостоятельный и самостоятельный разряды

столкновения электрона с атомом

В результате столкновения электрона с атомом (рис. 3.18) образуется еще один электрон и положительный ион. Таким образом, вместо одной заряженной частицы появляются три — ион и два электрона. Эти электроны, в свою очередь, получают энергию в поле и ионизуют новые атомы и т. д. Вследствие этого число заряженных частиц очень быстро возрастает. Описанный процесс имеет сходство с образованием снежной лавины в горах и поэтому получил название электронной (или ионной) лавины.

Лавинообразное нарастание числа заряженных частиц в газе может начаться под действием сильного электрического поля, если в газе окажется хотя бы один электрон. Ионизатор в этом случае не нужен. Так, например, в окружающем нас воздухе всегда имеется некоторое число ионов и электронов, возникающих под действием радиоактивных излучений земной коры, ультрафиолетового и рентгеновского излучений Солнца, а также других излучений, проникающих в земную атмосферу из космического пространства.

Обратим внимание на то, что роль электронов и ионов в образовании лавинного разряда в газах неодинакова. Основную роль в ударной ионизации играют свободные электроны.

Объяснить это можно так. Положительные ионы, так же как электроны, движутся в поле с одинаковой напряженностью, но длина свободного пробега электронов больше длины свободного пробега положительных ионов. Поэтому кинетическая энергия, приобретенная электроном, согласно формуле (3.8.1), больше кинетической энергии положительного иона.

Однако более существенным является то, что из-за одновременного выполнения законов сохранения энергии и импульса лишь часть кинетической энергии при ударе может превратиться во внутреннюю энергию. Оказывается, что чем меньше масса ионизующей частицы по сравнению с массой молекулы, тем большая часть кинетической энергии этой частицы сможет превратиться во внутреннюю и израсходоваться на ионизацию. Поясним это подробнее.

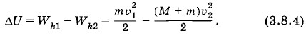
Пусть ионизующая частица, масса которой m, имела перед ударом о покоящуюся молекулу массой М скорость Тогда кинетическая энергия этой частицы перед ударом равна:

Предположим для простоты, что скорости ионизующей частицы и молекулы после соударения примерно одинаковые. Тогда, согласно закону сохранения импульса,

1 = (m + M)υ2, (3.8.3)

где υ2 — скорость частицы и молекулы после удара.

Изменение внутренней энергии ΔU равно потере кинетической энергии:

Выразив υ2 из соотношения (3.8.3) и подставив в уравнение (3.8.4), получим:

Масса иона равна массе молекулы, следовательно, Масса же электрона в несколько тысяч раз меньше массы молекулы. Поэтому в выражении (3.8.5) отношение и ΔU - Wk1. Таким образом, кинетическая энергия при соударении электрона с молекулой почти полностью может превратиться во внутреннюю, а при соударении иона с молекулой — наполовину. Итак, даже при одинаковой кинетической энергии электрон в качестве ионизатора оказывается эффективнее иона.

Но ионизация только электронным ударом не может обеспечить длительный самостоятельный разряд. Действительно, ведь все возникающие таким образом электроны движутся по направлению к аноду и по достижении анода «выбывают из игры». Для поддержания разряда необходима эмиссия электронов с катода («эмиссия» означает «испускание»). Эмиссия электронов может быть обусловлена несколькими причинами.

Положительные ионы, образовавшиеся при столкновении электронов с нейтральными атомами, при своем движении к катоду приобретают под действием поля большую кинетическую энергию. При ударах таких быстрых ионов о катод с поверхности катода выбиваются электроны.

Термоэлектронная эмиссия

Катод может испускать электроны при нагревании до высокой температуры. Этот процесс называется термоэлектронной эмиссией. Его можно рассматривать как испарение электронов из металла. Во многих твердых веществах термоэлектронная эмиссия происходит при температурах, при которых испарение самого вещества еще мало. Такие вещества и используют для изготовления катодов.

При самостоятельном разряде нагрев катода может происходить за счет бомбардировки его положительными ионами. Если энергия ионов не слишком велика, то выбивания электронов с катода не происходит и электроны испускаются вследствие термоэлектронной эмиссии.

В газах при больших напряженностях электрических полей электроны достигают таких больших энергий, что начинается ионизация электронным ударом. Разряд становится самостоятельным и продолжается без внешнего ионизатора.

<<< К началу параграфа

 

 

???????@Mail.ru