Главная >> Электродинамика. Физика 10-11 класс. Мякишев

Глава 3. Электрический ток в различных средах

§ 3.21. Примеры решения задач (окончание)

Задача 4

Вычислите чувствительность электронно-лучевой трубки к напряжению, т. е. значение отклонения пятна на экране, вызванного разностью потенциалов на управляющих пластинах в 1 В. Длина управляющих пластин l, расстояние между ними d, расстояние от конца пластин до экрана L и ускоряющая разность потенциалов U0. Решение. На рисунке 3.65 схематически изображены управляющие пластины A vs. В трубки, экран MN и траектория электрона ОС. Начало системы координат находится в точке О.

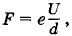
При движении между пластинами в направлении оси Y электрон находится под действием силы где U — разность потенциалов между пластинами A и В. Эта сила сообщает электрону ускорение Здесь m — масса электрона.

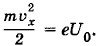
Расстояние l вдоль оси X электрон проходит за время υ — проекция скорости электрона на ось X, определяемая из условия За время t1 электрон отклоняется в направлении оси Y на величину

Движение электрона вне пластин происходит с постоянной скоростью в течение времени

Проекция скорости на ось Y равна υy = at1 Отклонение в области вне пластин

Задача 5

Концентрация электронов проводимости в германии при комнатной температуре nе = 3 • 1019 м-3. Какую часть это число составляет от общего числа атомов? Плотность германия ρ = 5400 кг/м3, молярная масса германия М = 0,073 кг/моль. Во сколько раз увеличится концентрация электронов проводимости при введении в германий примеси мышьяка, составляющей по массе р = 10-5% ? Молярные массы мышьяка и германия считать одинаковыми.

Решение. Число атомов германия определяется по формуле

Следовательно, концентрация атомов германия

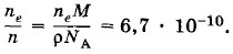
Отношение концентраций

Концентрация электронов проводимости примеси мышьяка

а общая концентрация электронов проводимости

Концентрация электронов проводимости возросла в 150 раз.

<<< К началу параграфа

 

 

???????@Mail.ru