Главная >> Электродинамика. Физика 10-11 класс. Мякишев

Глава 1. Электростатика

§ 1.6. Примеры решения задач (окончание)

Задача 4

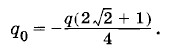
В вершинах квадрата расположены одинаковые заряды q. Какой заряд q0 надо поместить в центре квадрата, чтобы система находилась в равновесии?

Решение. Искомый заряд q0 должен к притягивать заряды q, расположенные в вершинах квадрата, компенсируя их взаимное отталкивание. Поэтому знаки зарядов q0 и q противоположны.

При любом значении заряда q0 он будет находиться в равновесии, так как расположен в центре симметрии квадрата, и силы, действующие на него со стороны зарядов, расположенных в вершинах квадрата, компенсируются.

Заряды, расположенные в вершинах квадрата, будут находиться в равновесии, когда суммы действующих на них сил равны нулю. Рассмотрим, например, условие равновесия заряда, расположенного в точке D (рис. 1.14). На этот заряд действуют силы отталкивания 1, 2 и 3 со стороны зарядов, расположенных в вершинах В, С и К, и сила 4 притяжения к заряду q0. Следовательно,

1 + 2 + 3 + 4 = 0

В проекциях на ось X это равенство примет вид:

F4 + F3cos α - F4cos α = 0,                     (1.6.2)

где α = 45 , a

Для нахождения модулей сил необходимо знать расстояния между зарядами. Обозначим длину стороны BD квадрата через а, тогда

Подставляя эти силы в уравнение (1.6.2), получим:

Учитывая, что заряды q и q0 должны иметь противоположные знаки, получим:

Задача 5

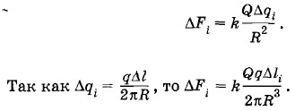
Тонкое проволочное кольцо радиусом Д несет электрический заряд q. В центре кольца расположен одноименный с q заряд Q, причем Q » q. Определите силу, растягивающую кольцо.

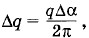
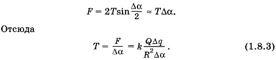
Решение. 1-й способ. Так как Q » q, то взаимодействием между отдельными элементами кольца можно пренебречь. Выделим малый элемент кольца длиной Δl = RΔα (рис. 1.15, о).

Со стороны заряда Q на него действует сила где

Силы натяжения уравновешивают силу (рис. 1.15, б). Из условия равновесия, учитывая, что Δα мало, имеем:

Подставляя в (1.8.3) значения и получим:

2-й способ. На каждый элемент кольца длиной Alt (рис. 1.16) действует элементарная сила

Геометрическая сумма элементарных сил, действующих на полукольцо, уравновешивается возникающими силами натяжения кольца (см. рис. 1.16):

<<< К началу параграфа

 

 

???????@Mail.ru