Главная >> Электродинамика. Физика 10-11 класс. Мякишев

Глава 1. Электростатика

Ответы к упражнению 1

2. F = 2,6 кН.

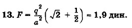
3. F = 2,25 дин.

8. На расстояние 7 см.

 

 

???????@Mail.ru