Главная >> Электродинамика. Физика 10-11 класс. Мякишев

Глава 5. Электромагнитная индукция

§ 5.9. Примеры решения задач

При решении задач на материал этой главы нужно уметь с помощью правила Ленца определять направление индукционного тока. Для вычисления ЭДС индукции следует использовать формулы (5.3.3), (5.5.2), а для ЭДС самоиндукции и взаимной индукции — формулы (5.7.2) и (5.7.4). Энергию тока вычисляют по формуле (5.8.1), а плотность энергии магнитного поля — по формуле (5.8.6). Для решения некоторых задач надо применять закон Ампера (4.7.9).

Задача 1

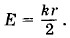
Проволочное кольцо радиусом r находится в однородном магнитном поле, индукция которого перпендикулярна плоскости кольца и меняется с течением времени по закону В = kt. Определите напряженность электрического поля в витке.

Решение. Согласно закону электромагнитной индукции (5.3.2)

С другой стороны, ЭДС индукции численно равна работе, совершаемой вихревым электрическим полем при перемещении единичного положительного заряда вдоль проволочного кольца (см. § 4.4), т. е.

|i| = 2πrE.                     (5.9.2)

Сравнивая выражения (5.9.1) и (5.9.2), получим:

2πrE = kπr2.

Отсюда

Задача 2

В однородном проволочном кольце создан постоянный индукционный ток I. Линии индукции переменного магнитного поля, создающего этот ток, перпендикулярны плоскости кольца. Поле сосредоточено вблизи его оси и имеет ось симметрии, проходящую через центр кольца (рис. 5.18). Чему равна разность потенциалов между точками А и В? Что будет показывать электрометр, присоединенный к этим точкам?

Решение. Разность потенциалов между любыми точками кольца должна быть равна нулю. В противном случае мы придем к противоречию, применяя закон Ома к короткому и длинному участкам кольца. Кроме того, это очевидно и из соображений симметрии.

Отсутствие разности потенциалов означает, что кулоновское поле внутри кольца равно нулю. Ток возникает вследствие наличия ЭДС индукции, распределенной равномерно вдоль кольца:

где еi, и i — ЭДС индукции на коротком и длинном участках кольца, а г и R — соответственно сопротивления участков.

Несмотря на отсутствие разности потенциалов между точками A и В, электрометр обнаружит разность потенциалов между стержнем и корпусом.

Дело в том, что в проводниках АС и BD ток равен нулю. Следовательно, в каждой точке этих проводников стороннее электрическое поле индукционного происхождения уравновешивается кулоновским (потенциальным) полем, возникающим вследствие перераспределения зарядов в проводниках под влиянием ЭДС индукции. Работа потенциальных сил при перемещении по замкнутому контуру ACDBA равна нулю. На участке АВ кулоновское поле отсутствует. При перемещении единичного заряда по проводникам АС и BD работа потенциальных сил численно равна ЭДС индукции в этих проводниках и имеет противоположный знак.

Следовательно, для равенства нулю работы кулоновских сил вдоль замкнутого контура необходимо, чтобы разность потенциалов между точками С и D равнялась ЭДС индукции в проводниках АС и DB и совпадала с ней по знаку. Так как ЭДС индукции в замкнутом контуре ACDBA равна нулю (магнитное поле не пронизывает этот контур), то на участке АВ ЭДС индукции равна по модулю и противоположна по знаку ЭДС в проводниках АС и ВП, если пренебречь работой сторонних сил индукции на участке между стержнем и корпусом электрометра по сравнению с работой в проводниках АС и BD.

Поэтому электрометр покажет разность потенциалов, приблизительно равную ЭДС на участке АВ.

Задача 3

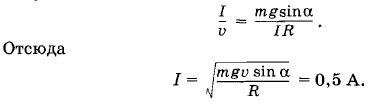
По параллельным рельсам, наклоненным под углом α = 30° к горизонту, соскальзывает без трения с постоянной скоростью υ = 1м/с проводящая перемычка массой m = 100 г. В своей верхней части рельсы замкнуты проводником. Рельсы с перемычкой находятся в однородном магнитном поле, индукция которого направлена вертикально. Сопротивление перемычки R = 2 Ом гораздо больше сопротивления остальной части системы. Чему равна сила тока I в перемычке?

Решение. На перемычку действуют три силы: сила тяжести , сила реакции рельсов и сила Ампера А, направленная вправо (рис. 5.19). Направление силы Ампера не зависит от направления вектора . При изменении направления на противоположное меняется направление индукционного тока, возникающего в перемычке при ее движении, но направление силы Ампера не меняется.

Так как, согласно условию, перемычка соскальзывает по рельсам с постоянной скоростью без трения, то векторная сумма действующих на нее сил равна нулю:

Запишем это уравнение для модулей проекций на ось X, направленную так, как показано на рисунке 5.19:

FA cos α = mg sin α.                     (5.9.3)

Сила Ампера, действующая со стороны магнитного поля на перемычку, равна:

FA = BIl,

где В — индукция магнитного поля, l — длина перемычки. Тогда уравнение (5.9.3) примет вид:

BIl cos α = mg sin α.                     (5.9.4)

ЭДС индукции, возникающая в перемычке при ее движении вниз по рельсам со скоростью , равна:

1 = Blυ sin (90° + α) = Blυ cos α.

Согласно закону Ома

Blυ cos α = IR.                     (5.9.5)

Поделив почленно равенство (5.9.4) на равенство (5.9.5), получим:

Окончание параграфа >>>

 

 

???????@Mail.ru