Главная >> Электродинамика. Физика 10-11 класс. Мякишев

Глава 5. Электромагнитная индукция

Ответы к упражнению 9

2. Во втором случае.

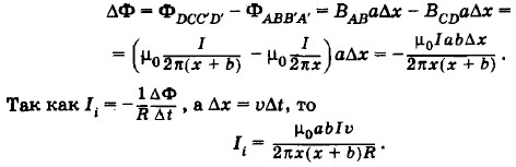
3. За время Δt контур переместится в положение А'В'С'D' (рис. 12) На расстояние Δх. При этом магнитный поток, пронизывающий контур, изменится на

Ток, индуцированный в контуре, направлен по часовой стрелке.

5. В контуре ABCD действует ЭДС индукции 1 = ka2, а в контуре BEFC — ЭДС индукции Простейшая эквивалентная схема с гальваническими элементами, заменяющими ЭДС индукции, для нашей цепи имеет вид, изображенный на рисунке 13. На основании второго правила Кирхгофа можно записать:

I3аr = 1 - I1 • Заr = I2 • 2аr - 2.

По первому правилу Кирхгофа I1 = I2 + I3. Решая полученные уравнения, находим:

Учитывая выражения для 1 и 2, окончательно имеем:

8. Сначала проводник будет двигаться (падать) ускоренно с уменьшающимся по модулю ускорением. Когда скорость проводника достигнет значения

она дальше изменяться не будет — проводник начнет двигаться равномерно.

11. За счет совершения работы силой на пути s увеличиваются кинетическая энергия проводника и электростатическая энергия конденсатора. (Так как L = 0, то энергия тока равна нулю.)

12. Так как, согласно условию, I = kt, то и гдe S = πr2.

ЭДС самоиндукции

Напряжение на зажимах соленоида должно быть равно:

13. Скорость нарастания магнитного потока в соленоиде (и катушке) постоянна. Следовательно, постоянна и ЭДС индукции в катушке. Если катушка включена в замкнутую цепь, то сила тока в ней будет постоянна. Ток установится не сразу. Время его установления определяется коэффициентом самоиндукции катушки и ее сопротивлением.

15. Ф = πBr2.

16. Если сопротивлением кольца можно пренебречь, то полный магнитный поток через кольцо не будет изменяться (см. задачу 6 в § 5.9). А это значит, что магнитное поле, созданное индукционными токами в кольце, всегда противодействует полю электромагнита. Следовательно, кольцо будет отталкиваться.

17. Силы токов в кольцах уменьшатся в два раза, т. е.

 

 

???????@Mail.ru