Главная >> Физика. 10 класс. Часть 1. Генденштейн. Дик

§ 4. Мгновенная и средняя скорость

Ответы и указания к § 4: Мгновенная и средняя скорость

    1. 10 м/с.

    2. 10 м/с.

    3. а) В точке, соответствующей 3 с; в точках, соответствующих 0 и 6 с. б) 10 и 0 м/с.

    4. На 16 км/ч.

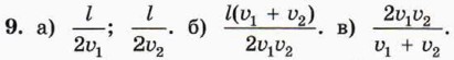
    5. а) 20 км. б) 2 ч. в) 10 км/ч.

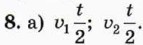
    6. а) 15 км. б) 30 км. в) 4 ч. г) 7,5 км/ч.

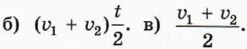
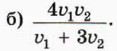
    7. В первом случае он ехал и шёл пешком одинаковое время; во втором случае он шёл в 3 раза большее время, чем ехал.

    в) 80 км/ч.

    в) 84,2 км/ч.

    14. 1 ч.

    15. При t = 1 с и при t = 4 c. Указание. Найдите точки графика, в которых касательная к нему параллельна отрезку, соединяющему начальную и конечную точки графика.

    16. б) При t = 3 с.

<<< К началу

 

 

???????@Mail.ru