Главная >> Физика 10 класс. Часть 1. Генденштейн. Дик

§ 36. Применение условий равновесия тела

Ответы и указания к § 36: Применение условий равновесия тела

    4. Только конус и цилиндр: их можно перекатывать подобно шару (рис. 6); все; для всех.

    6. tg αск = μ.

    9. У к а з а н и е. В этом случае не будет выполнено ни первое условие равновесия, ни второе (относительно, например, верхнего конца лестницы). На самом деле, чтобы тело не могло находиться в равновесии, достаточно, чтобы не было выполнено хотя бы одно условие равновесия.

    13. 45°.

    14. tg α ≤ μ.

    16. 0,45 Н.

    17. Силу надо приложить в точке В, которая диаметрально противоположна точке А касания колеса со ступенькой. Направить силу надо перпендикулярно линии АВ. В таком случае момент силы относительно края ступеньки будет максимальным.

    20. h = r(l - cos α).

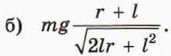
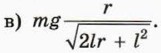
    21. а) Воспользуйтесь правилом моментов относительно центра шара,

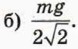
    22. а) К любому верхнему ребру куба; под углом 45° к горизонтали,

<<< К началу

 

 

???????@Mail.ru