Главная >> Физика 10 класс. Часть 1. Генденштейн. Дик

§ 37. Гидростатика

Закон Архимеда (окончание)

7. Ко дну аквариума прикреплена пружина, к верхнему концу которой прикреплён деревянный шар (рис. 37.4). Чему равна плотность дерева, если энергия упругой деформации пружины не изменилась после того, как в аквариум налили воду? Считайте, что шар полностью погружён в воду.

    Рис. 37.4

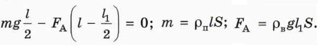
8. Подвешенная за один конец тонкая пластмассовая палочка массой m и длиной l частично погружена в воду и находится в равновесии в наклонном положении (рис. 37.5). При этом длина погружённой в воду части палочки равна l1 Обозначим площадь поперечного сечения палочки S, плотность пластмассы ρп, плотность воды ρв.

    Рис. 37.5

    а) Изобразите на чертеже действующие на палочку силу тяжести и силу Архимеда. Объясните, почему справедливы уравнения:

    б) Чему равна плотность пластмассы, если l1 = 0,5l?

Палочка в стакане с водой

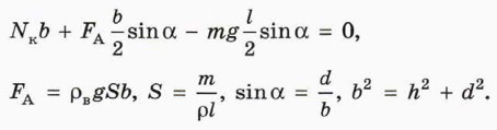
Вернёмся к палочке в стакане, рассмотренной в § 36. Но пусть теперь стакан доверху наполнен водой (рис. 37.6). Будем считать, что при этом положение палочки не изменилось.

    Рис. 37.6

9. Как и почему изменилась сила давления края стакана на палочку после заполнения стакана водой?

Введём обозначения:

    l — длина палочки,

    S — площадь её поперечного сечения,

    m — масса палочки,

    ρ — плотность палочки,

    ρв — плотность воды,

    h — высота стакана,

    d — его диаметр.

Для упрощения формул удобно обозначить α угол между палочкой и вертикалью, а длину находящейся в стакане части палочки b (α и b можно выразить через h и d, но удобнее ввести для них свои обозначения, чтобы упростить формулы).

Силу, действующую на палочку со стороны края стакана, обозначим K, а силу Архимеда — А.

10. Обозначьте на чертеже в тетради все действующие на палочку силы и объясните, почему справедливы уравнения:

11. В гладком цилиндрическом стакане диаметром 6 см и высотой 8 см находится тонкая палочка длиной 15 см. Плотность палочки в 2 раза больше плотности воды. Во сколько раз уменьшится сила давления палочки на край стакана после того, как его наполнят водой?

<<< К началу

 

 

???????@Mail.ru