Главная >> Физика 10 класс. Часть 1. Генденштейн. Дик

Приложение

Оценка погрешностей измерений

Погрешности измерений обусловлены неточностью самих приборов и неточностью снятия их показаний, влиянием случайных факторов и т. д. Различают абсолютную и относительную погрешности.

Абсолютная погрешность

Абсолютной погрешностью называют модуль отклонения измеренного значения физической величины от её истинного значения. Если ΔА — наибольшее значение абсолютной погрешности, то результат измерения записывают в виде А = Аср ± ΔА. Это означает, что значение физической величины находится между Аmin = А - ΔА и А = Аср + ΔА.

Относительная погрешность

Относительная погрешность Относительная погрешность полнее характеризует точность измерения, чем абсолютная. Например, если длина карандаша и длина комнаты измерены с одной и той же абсолютной погрешностью Δl = 1 см, то в первом случае измерение не очень точное (относительная погрешность довольно велика), а во втором случае — довольно точное (относительная погрешность мала).

Оценка абсолютной погрешности прямых измерений

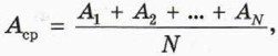
При прямом измерении значение величины определяют непосредственно по шкале измерительного прибора (линейки, динамометра, часов и т. д.). Если результаты повторных опытов в пределах точности прибора совпадают, погрешность измерения считают равной цене деления шкалы прибора ΔА = ΔАш (например, наибольшая абсолютная погрешность измерения длины с помощью линейки с миллиметровыми делениями равна 1 мм). Если же разброс результатов повторных опытов больше ΔАш, используют усреднение результатов нескольких опытов. Тогда за измеренное значение принимают где N — число опытов, а погрешность измерения оценивают по формуле За абсолютную погрешность измерения ΔА принимают бо´льшую из двух величин: Δ(Аср) и ΔАш.

Оценка абсолютной погрешности косвенных измерений

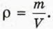
Косвенным называют измерение, при котором значение измеряемой величины определяют не непосредственно по показаниям приборов, а по формулам, в которые входят значения физических величин, полученные с помощью прямых измерений. Например, для измерения плотности вещества измеряют массу и объём тела и находят плотность по формуле

Один из наиболее простых методов оценки погрешности косвенных измерений — это метод границ. Он состоит в том, что с помощью формулы, по которой вычисляют измеряемую величину В, находят два значения: Bmin и Вmax, между которыми находится истинное значение измеренной величины В. Абсолютная погрешность измерения в таком случае а среднее значение

Округление результатов

Округлять результаты измерений и вычислений следует так, чтобы последняя значащая цифра находилась в том же десятичном разряде, что и абсолютная погрешность измеряемой величины.

 

 

???????@Mail.ru