Главная >> Физика. 10 класс. Часть 1. Генденштейн. Дик

§ 6. Перемещение при прямолинейном равноускоренном движении

Соотношение между путём и скоростью

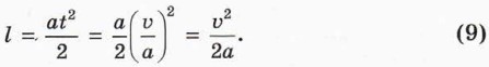
При решении задач часто используют соотношения между путём, ускорением и скоростью (начальной υ0, конечной υ или ими обеими). Выведем эти соотношения. Начнём с движения без начальной скорости. Из формулы (1) получаем для времени движения:

Подставим это выражение в формулу (2) для пути:

Главный вывод:

при прямолинейном равноускоренном движении без начальной скорости пройденный телом путь пропорционален квадрату конечной скорости.

7. Тронувшись с места, автомобиль набрал скорость 10 м/с на пути 40 м. Движение автомобиля считайте прямолинейным равноускоренным. Не вычисляя ускорения автомобиля, определите, какой путь от начала движения проехал автомобиль, когда его скорость была равна:

    а) 20 м/с? б) 40 м/с? в) 5 м/с?

Соотношение (9) можно получить также, вспомнив, что путь численно равен площади фигуры, заключённой под графиком зависимости скорости от времени (рис. 6.7).

    Рис. 6.7

Это соображение поможет вам легко справиться со следующим заданием.

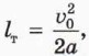
8. Используя рисунок 6.8, докажите, что при торможении с постоянным ускорением тело проходит до полной остановки путь где υ0 — начальная скорость тела, а — модуль ускорения.

    Рис. 6.8

В случае торможения транспортного средства (автомобиль, поезд) путь, пройденный до полной остановки, называют тормозным путём. Обратите внимание: тормозной путь при начальной скорости υ0 и путь, пройденный при разгоне с места до скорости υ0 с тем же по модулю ускорением а, одинаковы.

Окончание >>>

 

 

???????@Mail.ru