Главная >> Физика. 10 класс. Часть 1. Генденштейн. Дик

§ 8. Равномерное движение по окружности

Катящееся колесо

Рассмотрим движение различных точек колеса автомобиля.

Пусть автомобиль едет со скоростью (рис. 8.10), причём его колёса катятся без проскальзывания.

Что означают слова «без проскальзывания»? Это значит, что нижняя точка колеса А покоится относительно земли (при этом шины оставляют чёткие следы). Этот факт — отправная точка для нахождения скорости всех других точек колеса — например, точек В, С, D на рисунке 8.10.

Чтобы найти скорость этих точек, удобно перейти в систему отсчёта, связанную с автомобилем, а потом вернуться в систему отсчёта, связанную с дорогой.

В системе отсчёта, связанной с автомобилем, все точки обода колеса движутся по окружности с равными по модулю скоростями. Обозначим υвр модуль этой скорости, обусловленной вращением колеса вокруг своей оси. Выясним: как связаны скорость автомобиля и и скорость вращения υвр точек его колеса? Именно тут нам и поможет тот факт, что нижняя точка колеса А покоится относительно земли.

Заметим, что скорость Авр вращения нижней точки А направлена противоположно скорости автомобиля (рис. 8.11).

    А = Авр + .

Итак, скорости Авр и направлены противоположно, а их сумма А = 0. Следовательно,

    υвр = υ,

то есть скорость движения точек обода колеса в системе отсчёта, связанной с автомобилем, равна по модулю скорости автомобиля.

15. Докажите, что скорость точки С (см. рис. 8.10) относительно дороги равна 2υ.

16. Найдите направление и модуль скорости точек В и D (см. рис. 8.10) относительно земли.

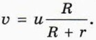
17. Катушка с ниткой (рис. 8.12) может катиться по горизонтальному столу без проскальзывания. Конец нити тянут в горизонтальном направлении со скоростью, равной по модулю u (рис. 8.13). Внутренний радиус катушки r, а внешний R. Докажите, что катушка будет двигаться вправо со скоростью

П о д с к а з к а. Рассмотрите движение точки А, воспользовавшись сложением скоростей, а также тем фактом, что точка катушки, касающаяся стола, покоится относительно стола.

18. С какой скоростью υ и в каком направлении будет двигаться катушка в случае, изображённом на рисунке 8.14?

Если вы выполнили это задание правильно, ответ может показаться вам неправдоподобным. Попробуйте проверить его на опыте, проследив за тем, чтобы катушка катилась без проскальзывания.

19. С какой скоростью едет велосипедист, если сорвавшаяся с колеса в точке А (рис. 8.15) капелька попала снова в эту же точку? Радиус колеса 30 см.

П о д с к а з к а. Перейдите в систему отсчёта, связанную с велосипедистом.

 

 

???????@Mail.ru