Главная >> Физика 10 класс. Часть 1. Генденштейн. Дик

§ 13. Три закона Ньютона

Третий закон Ньютона

Предложим первокласснику и десятикласснику посоревноваться в перетягивании каната, стоя на скейтбордах: тогда трением между колёсами и полом можно пренебречь (схема опыта показана на рисунке 13.6).

Мы увидим, что оба соперника движутся с ускорением. Значит, на каждого из них действует сила со стороны другого. Ускорения соперников направлены противоположно, причём ускорение первоклассника намного больше ускорения десятиклассника.

    Рис. 13.6

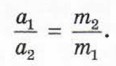
Точные опыты, подобные описанному выше, показывают, что модули ускорений обратно пропорциональны массам тел:

Поскольку ускорения направлены противоположно,

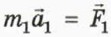
Согласно второму закону Ньютона и где 1 — сила, действующая на первое тело со стороны второго, a 2 — сила, действующая на второе тело со стороны первого.

Из соотношения (5) следует, что 1 = -2 Это и есть третий закон Ньютона.

Тела взаимодействуют друг с другом с силами, равными по модулю и противоположными по направлению.

Свойства сил, с которыми тела взаимодействуют друг с другом

— эти силы обусловлены одним и тем же взаимодействием и поэтому имеют одну и ту же физическую природу;

— эти силы направлены вдоль одной прямой;

— эти силы приложены к разным телам и поэтому не могут уравновешивать друг друга.

Окончание >>>

 

 

???????@Mail.ru