Главная >> Физика 10 класс. Часть 1. Генденштейн. Дик

§ 15. Силы упругости

Соединение пружин

Последовательное соединение пружин

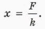
Возьмём одну пружину жёсткостью k (рис. 15.6, а). Если растягивать её силой (рис. 15.6, б), её удлинение выражается формулой

    Рис. 15.6

Возьмём теперь вторую такую же пружину и соединим пружины, как показано на рисунке 15.6, в. В таком случае говорят, что пружины соединены последовательно.

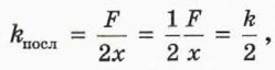
Найдём жёсткость kпосл системы из двух последовательно соединённых пружин.

Если растягивать систему пружин силой , то сила упругости каждой пружины будет равна по модулю F. Общее же удлинение системы пружин будет равно 2х, потому что каждая пружина удлинится на х (рис. 15.6, г).

Следовательно,

где k — жёсткость одной пружины.

Итак, жёсткость системы из двух одинаковых последовательно соединённых пружин в 2 раза меньше, чем жёсткость каждой из них.

Если последовательно соединить пружины с разной жёсткостью, то силы упругости пружин будут одинаковы. А общее удлинение системы пружин равно сумме удлинений пружин, каждое из которых можно рассчитать с помощью закона Гука.

8. Докажите, что при последовательном соединении двух пружин

где k1 и k2 — жёсткости пружин.

Окончание >>>

 

 

???????@Mail.ru