Главная >> Физика 10 класс. Часть 1. Генденштейн. Дик

§ 21. Движение по окружности под действием нескольких сил

Конический маятник (окончание)

Движение по гладкой поверхности

Пусть небольшая шайба скользит по горизонтальной окружности внутри гладкой полусферы (рис. 21.7).

    Рис. 21.7

Главное в таких задачах — увидеть, что это видоизменённый конический маятник: роль силы натяжения нити играет сила нормальной реакции.

10. Шайба массой 50 г движется со скоростью 2 м/с по горизонтальной окружности радиусом 20 см внутри гладкой полусферы.

    а) С каким ускорением движется шайба?

    б) Под каким углом к вертикали направлена сила нормальной реакции, действующая на шайбу со стороны полусферы?

    в) Чему равна сила нормального давления?

    г) Чему равен радиус полусферы?

    д) Чему равна частота обращения шайбы по окружности?

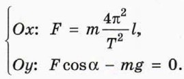
Рассмотрим также движение тела по внутренней поверхности конуса.

11. Шайба движется по горизонтальной окружности радиусом r по гладкой поверхности конуса (рис. 21.8, для наглядности конус разрезан). Образующая конуса составляет угол α с вертикалью. Чему равен период обращения шайбы?

    Рис. 21.8

<<< К началу

 

 

???????@Mail.ru