Главная >> Физика 10 класс. Часть 1. Генденштейн. Дик

§ 22. Движение системы связанных тел без учёта трения

Ответы и указания к § 22: Движение системы связанных тел без учёта трения

    4. а) 1,5 кг и 0,5 кг. б) 1,5 Н.

    5. а) 5 м/с2, вниз. б) 15 Н. в) 13,3 Н.

    7. 4 H; груз движется с ускорением, направленным вниз.

    10. а) 1 м/с2, б) 9 Н. в) 99 Н.

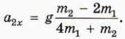
    11. а) 2. б) 0,5. Когда m1 > 0,5m2. m2 = 0,8m1.

    16. 25 cm.

    17. a) 8 H. 6) 6 м/с2, в) 0,5 кг.

    18. a) 2,5 м/с2. 6) 20 H. Указание. Вес перегрузка проще всего найти из второго закона Ньютона для груза, на котором лежит перегрузок, в) 2,7 кг.

    19. 1,6 Н.

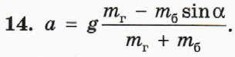
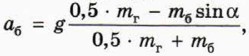
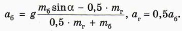
    20. Если 0,5 • mг > m6sin α, то аг = 0,5а6; если 0,5 • mг < m6sin α, то

<<< К началу

 

 

???????@Mail.ru