Главная >> Физика 10 класс. Часть 1. Генденштейн. Дик

§ 24. Движение системы тел. Учёт трения между телами системы

Ответы и указания к § 24: Движение системы тел

    У к а з а н и е. В искомый момент скорости бруска и доски относительно стола станут равными.

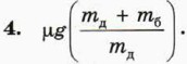
    7. a) 6 м/с2. 6) 0,4 c. в) 48 см. г) 0,4 м/с.

    У к а з а н и е. Для нахождения этой скорости можно ускорение доски умножить на время, в течение которого брусок двигался по доске.

    8. а) 3 м/с2, б) 1,5 м. в) 0,42 с. г) 2,15 м/с. д) 9 см.

    11. Больше 75 Н.

    15. а ≤ μg.

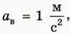
    17. аB = μg;

    18. a) μmin = 0,2. б) Оба с одинаковым ускорением в) Верхний брусок с ускорением нижний — с ускорением

    20. а) μg = 2 м/с2. б) 2μg = 4 м/с2, в) F ≤ 3μmg = 0,6 Н.

<<< К началу

 

 

???????@Mail.ru