Главная >> Физика 10 класс. Часть 1. Генденштейн. Дик

§ 25. Импульс. Закон сохранения импульса

Закон сохранения импульса

Важнейшим свойством импульса является то, что при определённых условиях суммарный импульс взаимодействующих тел остаётся неизменным (сохраняется).

Две одинаковые тележки могут катиться по столу вдоль одной прямой практически без трения1. Отсутствие трения — важное условие нашего опыта!

    1 Этот опыт можно поставить при наличии современного оборудования.

Установим на тележках защёлки, благодаря которым тележки после столкновения движутся как одно тело. Пусть правая тележка вначале покоится, а левой толчком сообщим скорость 0 (рис. 25.1, а).

    Рис. 25.1

После столкновения тележки движутся вместе. Измерения показывают, что их общая скорость в 2 раза меньше, чем начальная скорость левой тележки (25.1, б).

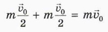
Обозначим массу каждой тележки m и сравним суммарные импульсы тележек до и после столкновения.

До столкновения

После столкновения

Мы видим, что суммарный импульс тележек остался неизменным (сохранился).

Может быть, это справедливо только тогда, когда тела после взаимодействия движутся как единое целое?

Заменим защёлки на упругую пружину и повторим опыт (рис. 25.2).

    Рис. 25.2

На этот раз левая тележка остановилась, а правая приобрела скорость, равную начальной скорости левой тележки.

3. Докажите, что и в этом случае суммарный импульс тележек сохранился.

Может быть, это справедливо только тогда, когда массы взаимодействующих тел равны?

Закрепим на правой тележке ещё одну такую же тележку и повторим опыт (рис. 25.3).

Теперь после столкновения левая тележка стала двигаться в противоположном направлении (то есть влево) со скоростью, равной а сдвоенная тележка стала двигаться вправо со скоростью

    Рис. 25.3

Окончание >>>

 

 

???????@Mail.ru