Главная >> Физика 10 класс. Часть 1. Генденштейн. Дик

§ 29. Кинетическая энергия и механическая работа

Изменение кинетической энергии и работа равнодействующей

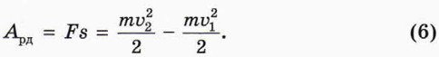
Пусть теперь начальная скорость тела равна 1, а направление равнодействующей по-прежнему совпадает с направлением начальной скорости (а тем самым и с направлением перемещения ). Обозначим конечную скорость тела 2.

3. Докажите, что в этом случае работа равнодействующей приложенных к телу сил равна изменению кинетической энергии:

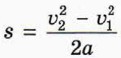
П о д с к а з к а. Воспользуйтесь формулой (см. § 6).

Итак,

работа Ард равнодействующей всех сил, приложенных к телу, равна изменению его кинетической энергии:

    Ард = Ek2 - Еk1.                     (7)

Это чрезвычайно полезное утверждение называют теоремой об изменении кинетической энергии. Как мы видели, она является следствием второго закона Ньютона. Поэтому применять её можно во всех случаях, когда применим второй закон Ньютона:

    • в любой инерциальной системе отсчёта;

    • для равнодействующей любых сил: природа этих сил (тяготения, упругости или трения) не существенна.

Мы доказали теорему об изменении кинетической энергии для случая, когда равнодействующая приложенных к телу сил постоянна и её направление совпадает с направлением перемещения тела. Однако можно доказать1, что она справедлива при любом угле между равнодействующей приложенных к телу сил и перемещением этого тела. Более того, равнодействующая может быть даже не постоянной, а переменной силой.

    1 Это выходит за рамки нашего курса.

Благодаря этому теорему об изменении кинетической энергии можно с успехом применять, чтобы находить изменение кинетической энергии (а тем самым и изменение скорости) тела при перемещении по любой траектории. Для этого надо вычислить работу равнодействующей приложенных к телу сил.

Работа равнодействующей равна алгебраической сумме работ всех сил, действующих на тело. Поэтому чтобы найти работу равнодействующей, достаточно найти работу каждой силы при перемещении тела и сложить эти работы с учётом их знаков.

Рассмотрим несколько примеров.

Начнём с простых задач, а потом перейдём к задачам, которые просто решаются с помощью теоремы об изменении кинетической энергии, но которые вы не смогли бы решить непосредственным применением законов Ньютона.

4. На тело массой 2 кг действует сила 10 Н. В начальный момент скорость тела равна 5 м/с и её направление совпадает с направлением силы. Тело переместилось на 5 м.

    а) Чему равна работа силы?

    б) Какова начальная кинетическая энергия тела?

    в) Какова конечная кинетическая энергия тела?

Окончание >>>

 

 

???????@Mail.ru