Главная >> Физика 10 класс. Часть 1. Генденштейн. Дик

§ 30. Потенциальная энергия

Потенциальная энергия упругой деформации

При возвращении в недеформированное состояние сила упругости пружины совершает положительную работу

При этом потенциальная энергия пружины уменьшается на такую же величину. Если нулевому уровню потенциальной энергии сопоставить состояние недеформированной пружины, то

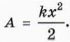
потенциальная энергия деформированной пружины жёсткостью k выражается формулой

где х — деформация пружины.

Потенциальную энергию, выражаемую формулой (3), называют также потенциальной энергией упругой деформации. Она зависит от квадрата деформации. Поэтому потенциальная энергия сжатой пружины равна потенциальной энергии растянутой пружины, если модуль деформации пружины в обоих случаях один и тот же.

4. В начальном состоянии пружина жёсткостью 200 Н/м сжата на 1 см. Как изменилась потенциальная энергия пружины, если в конечном состоянии:

    а) пружина не деформирована?

    б) сжата на 2 см?

    в) растянута на 1 см?

    г) растянута на 2 см?

5. Шар массой 200 г подвешен к пружине жёсткостью 100 Н/м и находится в равновесии. Шар поднимают так, чтобы пружина стала недеформированной, и отпускают без толчка.

    а) На какую высоту подняли шар?

    б) Как изменилась потенциальная энергия шара за время, в течение которого он возвращался в положение равновесия?

    в) Как изменилась за то же время потенциальная энергия пружины?

    г) Как изменилась за то же время потенциальная энергия системы «шар + Земля + пружина»?

 

 

???????@Mail.ru