Главная >> Физика 10 класс. Часть 1. Генденштейн. Дик

§ 32. Разрывы и столкновения

Упругие столкновения

Столкновение тел называют упругим, если механическая энергия тел в результате столкновения не изменяется. Таким можно считать, например, рассмотренное выше столкновение бильярдных шаров.

Столкновение двух тел называют центральным, если их скорости до столкновения и после него направлены вдоль одной прямой.

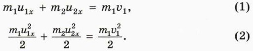
Пусть шар массой m1 движущийся со скоростью 1, налетает на покоящийся шар массой m2. Обозначим 1 и 2 скорости шаров после упругого центрального столкновения. Направим ось х по направлению скорости 1 налетающего шара1.

    1 В таком случае проекция скорости 1 на ось х равна υ1. Поэтому для упрощения формул мы пишем υ1 вместо υ.

7. Объясните смысл следующих уравнений:

П о д с к а з к а. До и после столкновения тела движутся вдоль оси х, поэтому квадраты скоростей равны квадратам проекций скоростей:

Переход к системе двух линейных уравнений

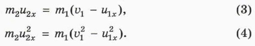
Перепишем уравнения (1) и (2) так, чтобы величины, относящиеся ко второму шару, находились слева от знака равенства, а к первому шару — справа. Кроме того, сократим общий множитель Мы получим:

8. Объясните, как из этих уравнений получить уравнение

    u2x = υ1 + u1x.                     (5)

П о д с к а з к а. Если столкновение произошло, то обе части уравнения (3) отличны от нуля. Поэтому можно разделить левую и правую части уравнения (4) соответственно на левую и правую части уравнения (3).

Уравнения (3) и (5) представляют собой систему двух линейных уравнений. Используя эту систему, легко выполнить следующее задание.

9. Чему равны проекции скоростей шаров после столкновения?

Из формул, полученных при выполнении этого задания, можно сделать качественные выводы, которые помогут при решении задач.

10. Шар массой m1 налетает со скоростью 1 на покоящийся шар массой m2. Удар упругий центральный. Используя результаты предыдущего задания, прокомментируйте содержание следующей таблицы.

Окончание >>>

 

 

???????@Mail.ru