Главная >> Физика 10 класс. Часть 1. Генденштейн. Дик

§ 32. Разрывы и столкновения

Ответы и указания к § 31: Разрывы и столкновения

    У к а з а н и е. Времена движения осколков до падения равны.

    6. а) m2 = 2m1 б) Скорость первого осколка равна по модулю скорости снаряда и направлена противоположно ей. в) Скорость второго снаряда в 3 раза больше скорости снаряда перед разрывом,

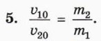
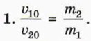
    11. а) 1,5 м/с. б) Масса второго шара в 5/3 раза больше, чем масса первого.

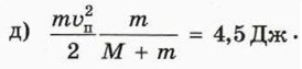
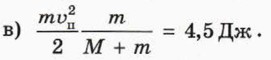
    13. а) 0,09 Дж. б) 3 м/с. в) 1 м/с. г) 5 см. д) 2 м/с. е) 20 см.

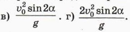
    16. а) Через 12 с.

    У к а з а н и е. Когда второй шар окажется на высоте разрыва, его скорость будет равна скорости первого шара сразу после разрыва, б) 60 м/с. в) 240 м. г) 4680 м. д) 306 м/с.

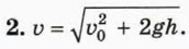
    17. а) 2 м/с. б) 400 г.

    18. а) 0,5 кг. б) 25 Дж. в) 7 Дж. г) 18 Дж.

<<< К началу

 

 

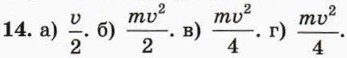
???????@Mail.ru