Главная >> Физика 10 класс. Часть 1. Генденштейн. Дик

§ 33. Неравномерное движение по окружности в вертикальной плоскости

Движение по «мёртвой петле»

Рассмотрим движение тела в вертикальной плоскости по гладкому жёлобу, переходящему в окружность (рис. 33.8). По аналогии с фигурой высшего пилотажа, когда самолёт совершает круговой виток в вертикальной плоскости, такое движение называют иногда мёртвой петлёй.

    Рис. 33.8

Движение по круговому жёлобу очень похоже на рассмотренное выше движение подвешенного на нити груза. Роль действующей на груз силы натяжения нити играет теперь сила нормальной реакции , направленная тоже по радиусу к центру окружности. А моменту, когда сила натяжения нити обращается в нуль, соответствует момент, когда тело отрывается от жёлоба.

13. Небольшая шайба массой m соскальзывает с высоты Н по гладкому наклонному жёлобу, переходящему в окружность радиусом r, и движется по окружности, не отрываясь от жёлоба. Обозначим B силу нормальной реакции, действующую на шайбу в верхней точке окружности. Скорость шайбы в этот момент обозначим υ.

    а) Сделайте чертёж, на котором изобразите силы, действующие на шайбу в верхней и нижней точках окружности.

    б) Объясните смысл следующих уравнений:

14. Чему равна минимальная высота Hmin, с которой должна соскальзывать шайба, чтобы она могла совершить полный оборот?

П о д с к а з к а. В этом случае NB обращается в нуль в верхней точке окружности.

Если начальная высота шайбы Н меньше, чем Нmin, то в некоторой точке шайба оторвётся от жёлоба. В этой точке сила нормальной реакции обращается в нуль.

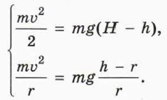
15. Небольшая шайба массой m соскальзывает с высоты Н по гладкому жёлобу, переходящему в окружность радиусом r, и отрывается от жёлоба на высоте h (по отношению к нижней точке окружности). Скорость шайбы в этот момент обозначим υ.

    а) Сделайте чертёж, на котором изобразите силы, действующие на шайбу в момент отрыва от жёлоба.

    б) Используя этот чертёж, объясните смысл уравнений

16. Небольшая шайба массой 50 г соскальзывает с некоторой высоты Н по гладкому жёлобу, переходящему в окружность радиусом 30 см, и отрывается от жёлоба на высоте 40 см (по отношению к нижней точке окружности).

    а) Чему равно Н?

    б) С какой силой шайба давит на жёлоб, когда она находится на одной горизонтали с центром окружности?

 

 

???????@Mail.ru